Simplify your online presence. Elevate your brand.

Hydraulics Hydrostatic Force Example Reaction Youtube

Hydrostatic Force Pdf Pressure Force
Hydrostatic Force Pdf Pressure Force

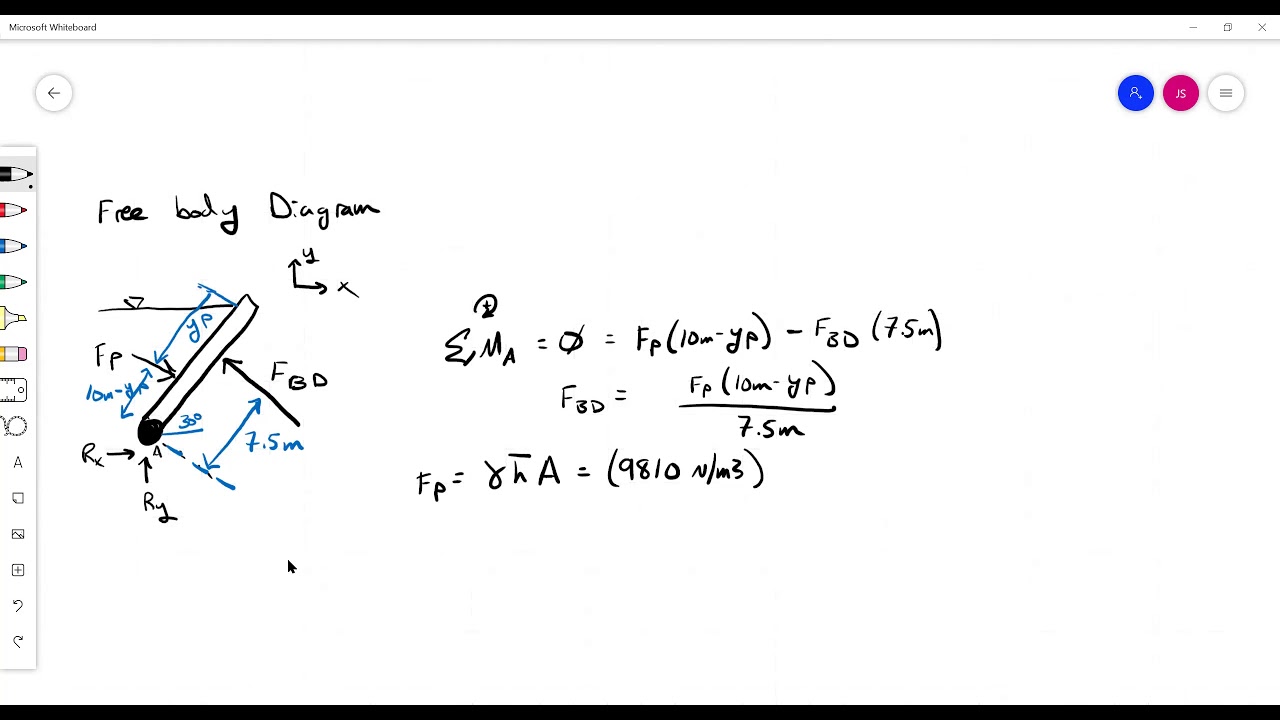
Hydrostatic Force Pdf Pressure Force Calculating the reaction force of a beam supporting a submerged plane. Part 3: fluid statics (32 min.) hydrostatic forces on plane surfaces. a derivation of the main equations and the solution of a simple numerical example for the vertical rectangular gate. video.

Hydrostatic Force Examples Pdf
Hydrostatic Force Examples Pdf

Hydrostatic Force Examples Pdf In this video, i show how to calculate the integral we found in part 1. to integrate, i bust up the integral, evaluate part of the integral by thinking about it in terms of areas and use a u substitution to calculate the other part. try out our new and fun fraction concoction game. Hydrostatic forces are the resultant force caused by the pressure loading of a liquid acting on submerged surfaces. calculation of the hydrostatic force and the location of the center of pressure are fundamental subjects in fluid mechanics. Sample problem on hydrostatic pressure on plane surfaces | fluid mechanics lesson 9 10k views. In today's video, we're diving deep into the fundamental concept of hydrostatics in the field of fluid mechanics and hydraulic machines, specifically tailored for gate exam preparation.

Introduction To Hydrostatic Force Pdf
Introduction To Hydrostatic Force Pdf

Introduction To Hydrostatic Force Pdf Sample problem on hydrostatic pressure on plane surfaces | fluid mechanics lesson 9 10k views. In today's video, we're diving deep into the fundamental concept of hydrostatics in the field of fluid mechanics and hydraulic machines, specifically tailored for gate exam preparation. In this introduction video we look at concepts such as pressure and its corresponding force in fluids at rest. Hydrostatic force on plane surface | multiple layer of liquid | hydraulics engr. cruz 9.3k subscribers subscribed. Ce review: hydrostatic force part 2 | hydraulics deanzano civil engineering lectures 15.6k subscribers subscribe. At first, the video describes the exemplary problem of a tank containing fluids in a 4 m by 4 m by 3.5 m volume space and asks to calculate the equivalent hydrostatic force developed on the.

Hydrostatic Forces Pdf Pressure Force
Hydrostatic Forces Pdf Pressure Force

Hydrostatic Forces Pdf Pressure Force In this introduction video we look at concepts such as pressure and its corresponding force in fluids at rest. Hydrostatic force on plane surface | multiple layer of liquid | hydraulics engr. cruz 9.3k subscribers subscribed. Ce review: hydrostatic force part 2 | hydraulics deanzano civil engineering lectures 15.6k subscribers subscribe. At first, the video describes the exemplary problem of a tank containing fluids in a 4 m by 4 m by 3.5 m volume space and asks to calculate the equivalent hydrostatic force developed on the.

Hydrostatic Forces Pdf Force Pressure
Hydrostatic Forces Pdf Force Pressure

Hydrostatic Forces Pdf Force Pressure Ce review: hydrostatic force part 2 | hydraulics deanzano civil engineering lectures 15.6k subscribers subscribe. At first, the video describes the exemplary problem of a tank containing fluids in a 4 m by 4 m by 3.5 m volume space and asks to calculate the equivalent hydrostatic force developed on the.

Comments are closed.