Simplify your online presence. Elevate your brand.

History Basic 5 Pdf Ghana

History Basic 5 Pdf Ghana
History Basic 5 Pdf Ghana

History Basic 5 Pdf Ghana History exam questions for primary 5 the document is a history exam for a basic level student with multiple choice and short answer questions about ghana's colonial period, including when europeans arrived, what they brought, who built important landmarks, and educational developments. The history of ghana curriculum is underpinned • trace ghana’s origins and its past glories by seven historical concepts and classroom activities. • develop the critical skills of historical enquiry.

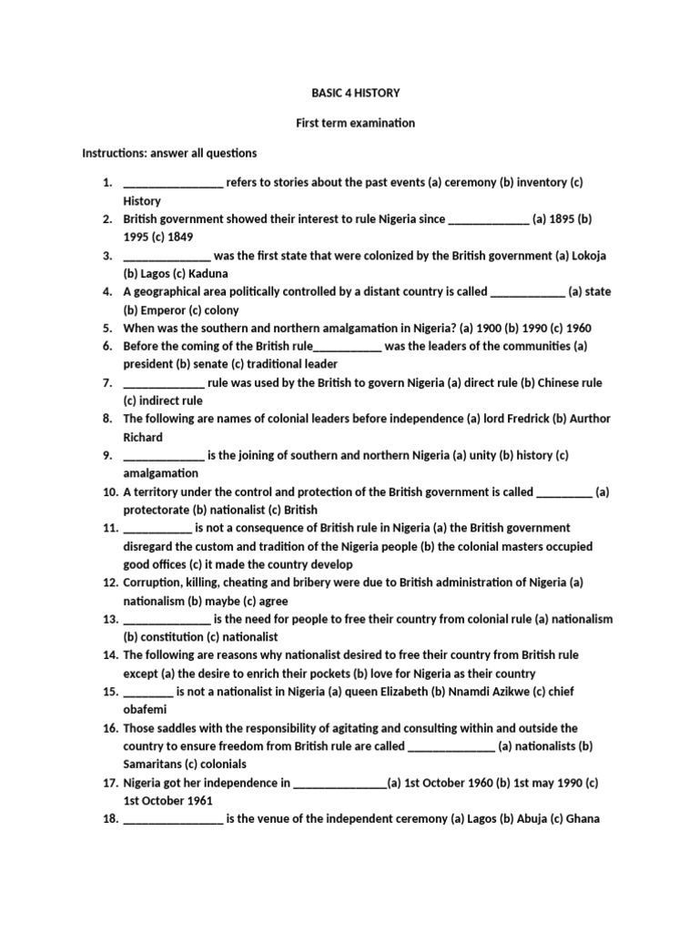
Basic 4 History Wps Office Pdf Nigeria
Basic 4 History Wps Office Pdf Nigeria

Basic 4 History Wps Office Pdf Nigeria Learners engage with the histories of major ghanaian kingdoms such as the ashanti, fante, dagomba, and others. they study the transatlantic slave trade and its impact on west africa. they examine the colonial period and the struggles that led to ghanaian independence in 1957. Welcome to our history series for ghana, which was specially developed for you, and for the lower and upper primary (basic 1–basic 6) learners. this teacher’s guide works together with the history learner’s book for basic 5. B5.5.1.1. show understanding of the factors that led to the formation of early protest movements in ghana before1945 colonial period including transport and communication projects. It is intended to help you in teaching the history of ghana learner’s book 5. it will facilitate the organisation of your teaching to enable you to cover the whole curriculum.

History Booklet Gr5 Pdf
History Booklet Gr5 Pdf

History Booklet Gr5 Pdf B5.5.1.1. show understanding of the factors that led to the formation of early protest movements in ghana before1945 colonial period including transport and communication projects. It is intended to help you in teaching the history of ghana learner’s book 5. it will facilitate the organisation of your teaching to enable you to cover the whole curriculum. [embedpress] docs.google spreadsheets d e 2pacx 1vtyenotllckwqjeaeqb3kgsxnfpjsdfeym9njdkeshodjtwlsik fz2zqghpzxfqs696qvpwtm0stls pubhtml [ embedpress]. My country ghana the people of ghana b5.2.1.1. demonstrate understanding of ho. life in ancient time was different from life today b5.2.1.1.1 describe how our ancestors lived in ancient times (before the . ive today. my country ghana the people of ghana b5.2.1.1. demonstrate understanding of ho. ana my . The history of ghana curriculum is underpinned by seven historical concepts and classroom activities. the teacher should emphasise these important concepts in the day to day learning episodes as they are aimed to promote higher order thinking among learners. Cambridge history primary offers you an authentic and interactive print course in history. the course has been developed in accordance with the new ghana curriculum, 2019. it offers learners relevant, real world content to broaden their learning and understanding through critical thinking skills.

Comments are closed.