Simplify your online presence. Elevate your brand.

Harp Bowl Intensive King S Church

Harp Bowl Teaching Pdf Intercession Singing
Harp Bowl Teaching Pdf Intercession Singing

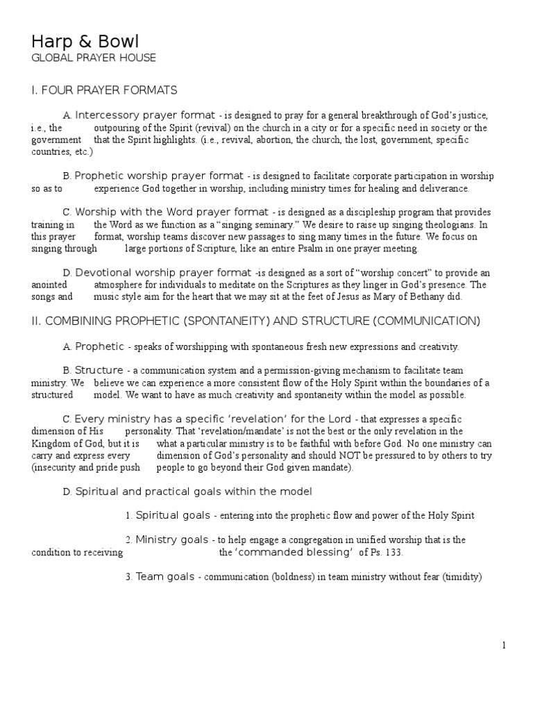
Harp Bowl Teaching Pdf Intercession Singing ‘harp & bowl’ is a model of prayer ministry that incorprates music, prayer and the word. this model is a key part of the prayer culture at king’s church, and serves as an essential foundation for those wanting to serve in the prayer room. And when he had taken the scroll, the four living creatures and the twenty four elders fell down before the lamb, each holding a harp, and golden bowls full of incense, which are the prayers of the saints.

Harp Bowl Intensive King S Church
Harp Bowl Intensive King S Church

Harp Bowl Intensive King S Church This document provides an introduction to the harp and bowl workshop, which aims to establish a house of prayer in the spirit of king david's tabernacle. it explains that david built a tent to house the ark of the covenant, with musicians and singers worshipping god 24 7 without a veil. The harp and bowl model is built around antiphonal praying (singing) of the word. this involves functioning in team ministry in the holy spirit in the realm of worship and prayer. A chapter by chapter, verse by verse online training through the book of revelation, offering biblical clarity, historical context, and a prayer centered understanding of its message for the church today. Worship with prayer is often called "harp and bowl," a model that helps people engage with god and sustain prayer for long stretches of time. learn more about how this model is used at international house of prayer.

Harp Bowl Reflection Church
Harp Bowl Reflection Church

Harp Bowl Reflection Church A chapter by chapter, verse by verse online training through the book of revelation, offering biblical clarity, historical context, and a prayer centered understanding of its message for the church today. Worship with prayer is often called "harp and bowl," a model that helps people engage with god and sustain prayer for long stretches of time. learn more about how this model is used at international house of prayer. Like any model, learning 'harp and bowl' takes guidance, practice and patience. your journey begins with a four week intensive where we explore the principles and practices of this prayer model. registration is required. ‘harp & bowl’ is a model of prayer ministry that incorprates music, prayer and the word. this model is a key part of the prayer culture at king’s church, and serves as an essential foundation for those wanting to serve in the prayer room. It is our pleasure to resource you with the content coming out of our church on dallas 310 s story rd irving, tx 75060 with live services and events. The harp and bowl model combines worship (represented by the harp) and prayer (represented by the golden bowl) by singing or speaking prayers along with music. this sustains night and day intercession through an enjoyable format that focuses worship on god rather than the people leading.

Comments are closed.