Simplify your online presence. Elevate your brand.

Ge9 Ethics Final Examination

Ethics Final Examination Pdf Utilitarianism Ethical Theories
Ethics Final Examination Pdf Utilitarianism Ethical Theories

Ethics Final Examination Pdf Utilitarianism Ethical Theories Ge9 (7504) ethics final exam reviewer free download as pdf file (.pdf), text file (.txt) or read online for free. the document reviews key concepts from chapters 1 10 of a business ethics textbook. Republic of the philippines pangasinan state university binmaley campus college of general and teacher education 1st semester, sy. 2021 2022 final examination in ge 9 ethics i. multiple choice direction: read the questions carefully and select the best answer on the given choices.

Final Exam For Ethics Pdf Utilitarianism Applied Ethics
Final Exam For Ethics Pdf Utilitarianism Applied Ethics

Final Exam For Ethics Pdf Utilitarianism Applied Ethics Studying ethics (disciplinal) ge9 at university of mindanao? on studocu you will find 74 lecture notes, practice materials, summaries, essays, mandatory assignments,. Study with quizlet and memorize flashcards containing terms like ethical hiring practices, misleading job descriptions, consumer privacy and more. This document is the instructions for a final exam in an ethics course at king's college of the philippines. it provides general instructions for taking the exam, which consists of 50 multiple choice questions. Ethics (ge9) final departmental examination sy 2021 2022 points: 32 50 1.it is an ethical system that bases morality on.

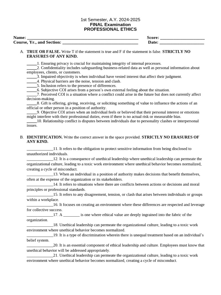
Professional Ethics Final Exam 2024 Pdf Leadership Organizational
Professional Ethics Final Exam 2024 Pdf Leadership Organizational

Professional Ethics Final Exam 2024 Pdf Leadership Organizational This document is the instructions for a final exam in an ethics course at king's college of the philippines. it provides general instructions for taking the exam, which consists of 50 multiple choice questions. Ethics (ge9) final departmental examination sy 2021 2022 points: 32 50 1.it is an ethical system that bases morality on. Test your knowledge with a quiz created from a student notes for ethics (disciplinal) ge9. what is the real definition of philosophy? which historical period is. Ge9 final exam review mcqs free download as pdf file (.pdf), text file (.txt) or read online for free. the document is a review for a final exam consisting of multiple choice questions focused on the iesba code of ethics, the definition of philosophy, and notable philosophers. On studocu you find all the lecture notes, summaries and study guides you need to pass your exams with better grades. Study with quizlet and memorize flashcards containing terms like philosophy is from two greek word?, axiology, epistemology, metaphysics, & logic, axiology branches from two social sciences? and more.

Ge9 Final Requirement Format Pdf Virtue Ethics Natural Law
Ge9 Final Requirement Format Pdf Virtue Ethics Natural Law

Ge9 Final Requirement Format Pdf Virtue Ethics Natural Law Test your knowledge with a quiz created from a student notes for ethics (disciplinal) ge9. what is the real definition of philosophy? which historical period is. Ge9 final exam review mcqs free download as pdf file (.pdf), text file (.txt) or read online for free. the document is a review for a final exam consisting of multiple choice questions focused on the iesba code of ethics, the definition of philosophy, and notable philosophers. On studocu you find all the lecture notes, summaries and study guides you need to pass your exams with better grades. Study with quizlet and memorize flashcards containing terms like philosophy is from two greek word?, axiology, epistemology, metaphysics, & logic, axiology branches from two social sciences? and more.

Comments are closed.