Simplify your online presence. Elevate your brand.

Fractional Exponents Rule Explained Youtube

Fractional Exponents Youtube
Fractional Exponents Youtube

Fractional Exponents Youtube This fractional exponents video lesson includes a free lesson guide and worksheet with an answer key. In this video, we break down fractional exponents in a clear and easy to follow way. we'll cover the basic definition, how to convert between radical and ex.

Fractional Exponents Youtube
Fractional Exponents Youtube

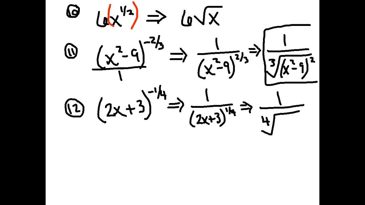
Fractional Exponents Youtube In this video on the laws of exponents i explain what the fractional exponent rule is and how you can apply it. it involves roots but once you understand how it works this rule is easy to. Sal shows how to evaluate 64^ (2 3) and (8 27)^ ( 2 3). How to evaluate fractional exponents, fractional exponents, indices & base, examples and step by step solutions. Master fractional exponents with our educational video lesson! understand their rules and operations with clear examples, then test your knowledge with a quiz.

Fractional Exponents Youtube
Fractional Exponents Youtube

Fractional Exponents Youtube How to evaluate fractional exponents, fractional exponents, indices & base, examples and step by step solutions. Master fractional exponents with our educational video lesson! understand their rules and operations with clear examples, then test your knowledge with a quiz. Also called "radicals" or "rational exponents" first, let us look at whole number exponents: the exponent of a number says how many times to use the number in a multiplication. in this example: 82 = 8 × 8 = 64. another example: 53 = 5 × 5 × 5 = 125. but what if the exponent is a fraction? and so on! why? let's see why in an example. Brett explains rational (fraction) exponent notation and demonstrates how to convert between radicals and fractional exponents to solve a variety of problems. In this article, we will discuss the concept of fractional exponents, and their rules, and learn how to solve them. we shall also explore negative fractional exponents and solve various examples for a better understanding of the concept. How to solve and simplify fractional (rational) exponents with properties. also, learn to multiply and divide involving them with examples.

Fractional Exponents Youtube
Fractional Exponents Youtube

Fractional Exponents Youtube Also called "radicals" or "rational exponents" first, let us look at whole number exponents: the exponent of a number says how many times to use the number in a multiplication. in this example: 82 = 8 × 8 = 64. another example: 53 = 5 × 5 × 5 = 125. but what if the exponent is a fraction? and so on! why? let's see why in an example. Brett explains rational (fraction) exponent notation and demonstrates how to convert between radicals and fractional exponents to solve a variety of problems. In this article, we will discuss the concept of fractional exponents, and their rules, and learn how to solve them. we shall also explore negative fractional exponents and solve various examples for a better understanding of the concept. How to solve and simplify fractional (rational) exponents with properties. also, learn to multiply and divide involving them with examples.

Fractional Exponents Youtube
Fractional Exponents Youtube

Fractional Exponents Youtube In this article, we will discuss the concept of fractional exponents, and their rules, and learn how to solve them. we shall also explore negative fractional exponents and solve various examples for a better understanding of the concept. How to solve and simplify fractional (rational) exponents with properties. also, learn to multiply and divide involving them with examples.

Comments are closed.