Simplify your online presence. Elevate your brand.

Fractional Equations With Complex Roots

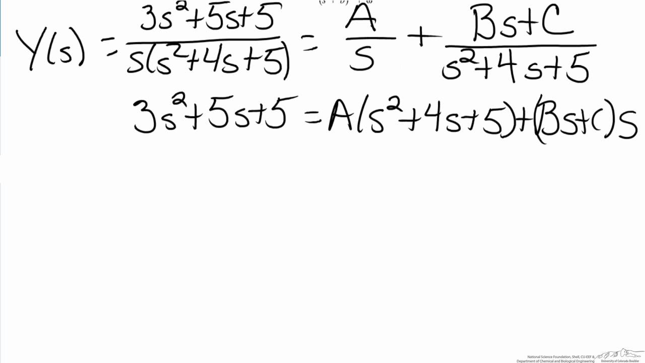
Partial Fraction Complex Roots 1 Youtube
Partial Fraction Complex Roots 1 Youtube

Partial Fraction Complex Roots 1 Youtube Depends on if you want to keep the quadratic polynomial with real coefficients, or factor it with complex roots. Partial fractions with complex roots involve breaking down algebraic fractions into simpler fractions, making it easier to solve complex equations. the concept is based on the fact that a polynomial with complex roots can be expressed as a sum of simpler fractions.

Laplace Transforms Partial Fractions Imaginary Roots Youtube
Laplace Transforms Partial Fractions Imaginary Roots Youtube

Laplace Transforms Partial Fractions Imaginary Roots Youtube In this article, we will learn about complex roots, arithmetic operations on complex roots, methods to find complex roots of a quadratic equation, and some practice problems based on them. More precisely, the fundamental theorem of algebra says that every polynomial p (x) with complex (which includes real) coefficients has a root or zero r among the complex numbers. Partial fraction decomposition is a technique used to write a rational function as the sum of simpler rational expressions. a partial fraction has irreducible quadratic factors when one of the denominator factors is a quadratic with irrational or complex roots:. 2 we can express a as a(s) = (s ¡ ̧)b(s) for some polynomial b example: s3 ¡ 1 has a root at s = 1 s3 ¡ 1 = (s ¡ 1)(s2 s 1) the multiplicity of a root ̧ is the number of factors s ¡ ̧ we can factor out, i.e., the largest k such that a(s) (s ¡ ̧)k is a polynomial.

Fractional Equations With Complex Roots Youtube
Fractional Equations With Complex Roots Youtube

Fractional Equations With Complex Roots Youtube Partial fraction decomposition is a technique used to write a rational function as the sum of simpler rational expressions. a partial fraction has irreducible quadratic factors when one of the denominator factors is a quadratic with irrational or complex roots:. 2 we can express a as a(s) = (s ¡ ̧)b(s) for some polynomial b example: s3 ¡ 1 has a root at s = 1 s3 ¡ 1 = (s ¡ 1)(s2 s 1) the multiplicity of a root ̧ is the number of factors s ¡ ̧ we can factor out, i.e., the largest k such that a(s) (s ¡ ̧)k is a polynomial. The factor (s 1) in (12) is by no means special: the same procedure applies to find a and b. the method works for denominators with simple roots, that is, no repeated roots are allowed. We wish to compute the partial partial fraction expansion for the irreducible fraction \ [ \frac {p (x)} { (x^2 ax b)^r\phi (x)} \] with $r>1$, where the quadratic polynomial $x^2 ax b$ has complex roots, that is, $a^2 4b < 0$, and where $\phi (x)$ has no factor of $x^2 ax b$. When solving two or more equated fractions, the easiest solution is to first remove all fractions by multiplying both sides of the equations by the lcd. this strategy is shown in the next examples. College mathematics for elementary education with algebra extensions a 3.4 complex fractions; solving equations with fractions to do.

Comments are closed.