Simplify your online presence. Elevate your brand.

Form 3 Maths Solving Simultaneous Equations Using Matrices

Solving Simultaneous Equations Using Matrices 2x3 Tessshebaylo
Solving Simultaneous Equations Using Matrices 2x3 Tessshebaylo

Solving Simultaneous Equations Using Matrices 2x3 Tessshebaylo In these lessons, we will learn how to solve systems of equations or simultaneous equations using matrices. we can use matrices to solve a system of linear equations. This document provides comprehensive notes on matrices for form 3 mathematics, covering topics such as the order of matrices, addition and subtraction, multiplication, identity matrices, determinants, inverses, and solutions to simultaneous linear equations using matrix methods.

How To Solve 3 Simultaneous Equations With Matrices Tessshebaylo
How To Solve 3 Simultaneous Equations With Matrices Tessshebaylo

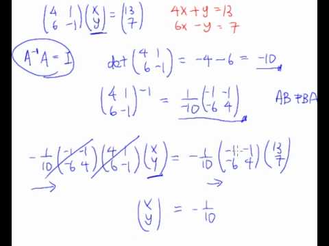
How To Solve 3 Simultaneous Equations With Matrices Tessshebaylo If we express the coefficients of a simultaneous equation in matrix form, we can solve the equations using basic matrix operations. this process can be automated quite easily using existing matrix manipulation software. 📚 master simultaneous equations using matrices the easy way! in this session, i break down the key form 3 kcse maths topic step by step, with simple explanations and examples. Matrices are rectangular arrays of numbers, symbols, or expressions arranged in rows and columns. in the context of solving linear equations, matrices are used to represent the coefficients of the equations and manipulate them to find the solutions. It is important as we solve systems of equations using matrices to be able to go back and forth between the system and the matrix. the next example asks us to take the information in the matrix and write the system of equations.

Solving 3 Simultaneous Equations Using Matrix Tessshebaylo
Solving 3 Simultaneous Equations Using Matrix Tessshebaylo

Solving 3 Simultaneous Equations Using Matrix Tessshebaylo Matrices are rectangular arrays of numbers, symbols, or expressions arranged in rows and columns. in the context of solving linear equations, matrices are used to represent the coefficients of the equations and manipulate them to find the solutions. It is important as we solve systems of equations using matrices to be able to go back and forth between the system and the matrix. the next example asks us to take the information in the matrix and write the system of equations. Making the best use of your mathematics class . classroom . functions relations and graphs . coordinate geometry . simplifying algebraic expressions . factorization . transposition of formula . solving linear equations . quadratic equations . trigonometry and bearings . matrices . inequalities and inequations . If we express the coefficients of a simultaneous equation in matrix form, we can solve the equations using basic matrix operations. this process can be automated quite easily using existing matrix manipulation software. This page is only going to make sense when you know a little about systems of linear equations and matrices, so please go and learn about those if you don't know them already. This result gives us a method for solving simultaneous equations. all we need do is write them in matrix form, calculate the inverse of the matrix of coefficients, and finally perform a matrix multiplication.

Solving Linear Simultaneous Equations Worksheet Cazoom Maths Worksheets
Solving Linear Simultaneous Equations Worksheet Cazoom Maths Worksheets

Solving Linear Simultaneous Equations Worksheet Cazoom Maths Worksheets Making the best use of your mathematics class . classroom . functions relations and graphs . coordinate geometry . simplifying algebraic expressions . factorization . transposition of formula . solving linear equations . quadratic equations . trigonometry and bearings . matrices . inequalities and inequations . If we express the coefficients of a simultaneous equation in matrix form, we can solve the equations using basic matrix operations. this process can be automated quite easily using existing matrix manipulation software. This page is only going to make sense when you know a little about systems of linear equations and matrices, so please go and learn about those if you don't know them already. This result gives us a method for solving simultaneous equations. all we need do is write them in matrix form, calculate the inverse of the matrix of coefficients, and finally perform a matrix multiplication.

Solution Simultaneous Equations In Matrices Studypool
Solution Simultaneous Equations In Matrices Studypool

Solution Simultaneous Equations In Matrices Studypool This page is only going to make sense when you know a little about systems of linear equations and matrices, so please go and learn about those if you don't know them already. This result gives us a method for solving simultaneous equations. all we need do is write them in matrix form, calculate the inverse of the matrix of coefficients, and finally perform a matrix multiplication.

Comments are closed.