Simplify your online presence. Elevate your brand.

Firewall Checklist All About Testing

Firewall Checklist Pdf Firewall Computing Computer Network
Firewall Checklist Pdf Firewall Computing Computer Network

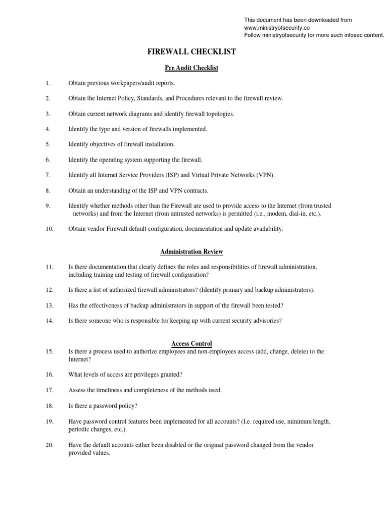
Firewall Checklist Pdf Firewall Computing Computer Network This is a firewall security audit checklist to secure a firewall in an it system. a firewall is the first line of defense and security, and if hardened correctly it mitigates the risk of compromise. The firewall audit checklist not only ensures that your firewall configurations and rules comply with external regulations and internal security policies. it can also help to reduce risk and improve firewall performance by optimizing the firewall rule base.

Firewall Checklist Sample Pdf Firewall Computing File
Firewall Checklist Sample Pdf Firewall Computing File

Firewall Checklist Sample Pdf Firewall Computing File In this article, i’m going to share my methodology for performing a comprehensive firewall penetration test. by the end, you’ll have a better understanding of how to holistically protect your business from cyber attacks. Properly testing firewalls ensures they effectively block malicious traffic while allowing legitimate communications. below is a detailed checklist for firewall testing, along with practical commands and steps to verify configurations. At balanced , our audit process begins with a comprehensive assessment of your firewall infrastructure. we meticulously examine your firewall rules, configurations, and policies to identify potential weaknesses and misconfigurations that could expose your network to cyber threats. By following this comprehensive firewall audit checklist, you can ensure that your firewall is configured to prevent unauthorized access, block malicious traffic, and respond to potential threats effectively.

Firewall Checklist Pdf Pdf Firewall Computing Computer Network
Firewall Checklist Pdf Pdf Firewall Computing Computer Network

Firewall Checklist Pdf Pdf Firewall Computing Computer Network At balanced , our audit process begins with a comprehensive assessment of your firewall infrastructure. we meticulously examine your firewall rules, configurations, and policies to identify potential weaknesses and misconfigurations that could expose your network to cyber threats. By following this comprehensive firewall audit checklist, you can ensure that your firewall is configured to prevent unauthorized access, block malicious traffic, and respond to potential threats effectively. Use this guide to determine if you‘re up to speed on firewall management best practices and learn how to meet compliance, reduce audit fines, and better secure your network. Firewall audit checklist and tools the document outlines a comprehensive audit methodology for firewall management access, patch management, rulebase validation, logging, and review approaches. Learn how to check firewall security, identify firewall vulnerabilities, understand attacker techniques, and follow a 20 point firewall security checklist. oc security audit helps businesses assess and strengthen network security nationwide. Firewall configurations should be reviewed regularly to ensure that an authorized person has approved and signed each firewall rule. firewall configurations should be checked regularly to make sure outdated or outdated policies are disabled or removed.

Firewall Audit Checklist 1714246316 Pdf Firewall Computing
Firewall Audit Checklist 1714246316 Pdf Firewall Computing

Firewall Audit Checklist 1714246316 Pdf Firewall Computing Use this guide to determine if you‘re up to speed on firewall management best practices and learn how to meet compliance, reduce audit fines, and better secure your network. Firewall audit checklist and tools the document outlines a comprehensive audit methodology for firewall management access, patch management, rulebase validation, logging, and review approaches. Learn how to check firewall security, identify firewall vulnerabilities, understand attacker techniques, and follow a 20 point firewall security checklist. oc security audit helps businesses assess and strengthen network security nationwide. Firewall configurations should be reviewed regularly to ensure that an authorized person has approved and signed each firewall rule. firewall configurations should be checked regularly to make sure outdated or outdated policies are disabled or removed.

Firewall Configuration Quick Start Checklist Pdf Ip Address
Firewall Configuration Quick Start Checklist Pdf Ip Address

Firewall Configuration Quick Start Checklist Pdf Ip Address Learn how to check firewall security, identify firewall vulnerabilities, understand attacker techniques, and follow a 20 point firewall security checklist. oc security audit helps businesses assess and strengthen network security nationwide. Firewall configurations should be reviewed regularly to ensure that an authorized person has approved and signed each firewall rule. firewall configurations should be checked regularly to make sure outdated or outdated policies are disabled or removed.

Comments are closed.