Simplify your online presence. Elevate your brand.

Exercicios Expressoes Algebricas Pdf

Exercícios Expressões Algébricas Pdf
Exercícios Expressões Algébricas Pdf

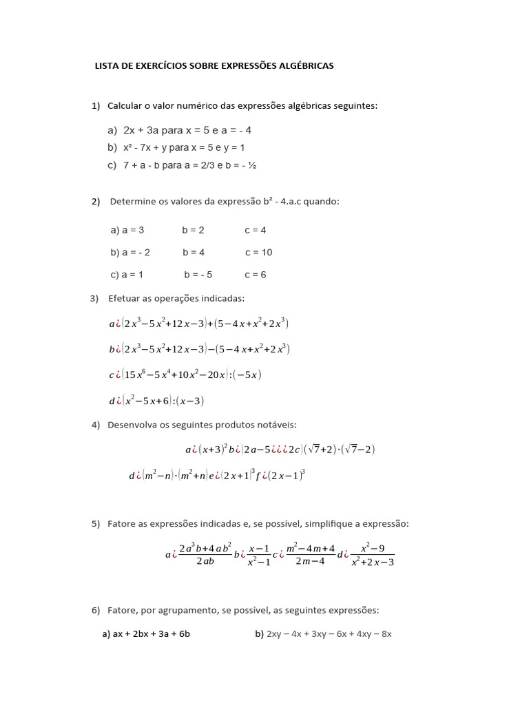
Exercícios Expressões Algébricas Pdf Expressão algébrica? definimos como expressão algébrica uma expressão que contém letras e números, separados por operações básicas da matemática, como a adiç. Atividade de matemática sobre expressões algébricas com gabarito para os estudantes do 6º ano, 7º ano, 8º ano e 9º ano. venha conferir!.

Expressões Algébricas Toda Matéria Pdf Matemática álgebra
Expressões Algébricas Toda Matéria Pdf Matemática álgebra

Expressões Algébricas Toda Matéria Pdf Matemática álgebra Determine o valor das expressões abaixo: associe cada expressão algébrica ao respectivo valor numérico para = −2 associe cada escrita por extenso, da primeira coluna, com sua respectiva expressão algébrica, da segunda coluna:. Chamando de x o número de horas que um veículo ficou estacionado e de y o valor total a ser pago, escreva uma expressão algébrica para representar essa situação. 1) o documento apresenta uma lista de exercícios de expressões algébricas com 10 questões. as questões envolvem escrever expressões algébricas com variáveis, calcular valores numéricos, identificar coeficientes e partes literais, simplificar expressões e resolver problemas. Qual expressão algébrica representa o perímetro da figura abaixo? um prêmio, em dinheiro, vai ser dividido entre três pessoas da seguinte maneira: uma vai receber x reais, cebidas pelas outras duas pessoas. escreva uma expressão algébrica que represente a qua ta e ganha 1 ponto em cada empate. das 20 partidas disputadas, um time venceu.

Exercícios Sobre Expressões Algébricas Toda Matéria
Exercícios Sobre Expressões Algébricas Toda Matéria

Exercícios Sobre Expressões Algébricas Toda Matéria 1) o documento apresenta uma lista de exercícios de expressões algébricas com 10 questões. as questões envolvem escrever expressões algébricas com variáveis, calcular valores numéricos, identificar coeficientes e partes literais, simplificar expressões e resolver problemas. Qual expressão algébrica representa o perímetro da figura abaixo? um prêmio, em dinheiro, vai ser dividido entre três pessoas da seguinte maneira: uma vai receber x reais, cebidas pelas outras duas pessoas. escreva uma expressão algébrica que represente a qua ta e ganha 1 ponto em cada empate. das 20 partidas disputadas, um time venceu. 4) o lucro de uma empresa de plástico que produz produtos ecologicamente corretos é dado pela expressão algébrica l = 48x – 730, em que “l” é o lucro e “x” é o número de produtos vendidos. se, num determinado mês, essa empresa vendeu 132 produtos, quanto ela obteve de lucro?. 5 2 e. 2 m 3 m − 1 2 2 6) se a = – 2x 4y 5, b = 2x 2y 3 e c = 4x – y 4, então calcule o valor de a – b c 7) resolva a expressão [3.(x2y).(x2y)] : (x2y2). Expressões literais. numa expressão algébrica, cada item é separada pelos sinais e – e são designados por termos. para simplificar uma expressão algébrica, reduz se os termos semelhantes. Expressões algébricas por milton procópio de borba resumo 2ax², 5b³x, 4a²by 5, 8xy² (2x³y) soma, subtração, multiplicação, produtos notáveis, fatoração e frações exercícios.

Exercícios Sobre Expressões Algébricas Educa
Exercícios Sobre Expressões Algébricas Educa

Exercícios Sobre Expressões Algébricas Educa 4) o lucro de uma empresa de plástico que produz produtos ecologicamente corretos é dado pela expressão algébrica l = 48x – 730, em que “l” é o lucro e “x” é o número de produtos vendidos. se, num determinado mês, essa empresa vendeu 132 produtos, quanto ela obteve de lucro?. 5 2 e. 2 m 3 m − 1 2 2 6) se a = – 2x 4y 5, b = 2x 2y 3 e c = 4x – y 4, então calcule o valor de a – b c 7) resolva a expressão [3.(x2y).(x2y)] : (x2y2). Expressões literais. numa expressão algébrica, cada item é separada pelos sinais e – e são designados por termos. para simplificar uma expressão algébrica, reduz se os termos semelhantes. Expressões algébricas por milton procópio de borba resumo 2ax², 5b³x, 4a²by 5, 8xy² (2x³y) soma, subtração, multiplicação, produtos notáveis, fatoração e frações exercícios.

Atividade De Expressões Algébricas Revoeduca
Atividade De Expressões Algébricas Revoeduca

Atividade De Expressões Algébricas Revoeduca Expressões literais. numa expressão algébrica, cada item é separada pelos sinais e – e são designados por termos. para simplificar uma expressão algébrica, reduz se os termos semelhantes. Expressões algébricas por milton procópio de borba resumo 2ax², 5b³x, 4a²by 5, 8xy² (2x³y) soma, subtração, multiplicação, produtos notáveis, fatoração e frações exercícios.

Exercícios Expressões Algébricas Pdf
Exercícios Expressões Algébricas Pdf

Exercícios Expressões Algébricas Pdf

Comments are closed.