Simplify your online presence. Elevate your brand.

Error Component Model

Error Model Of Software Component Download Scientific Diagram
Error Model Of Software Component Download Scientific Diagram

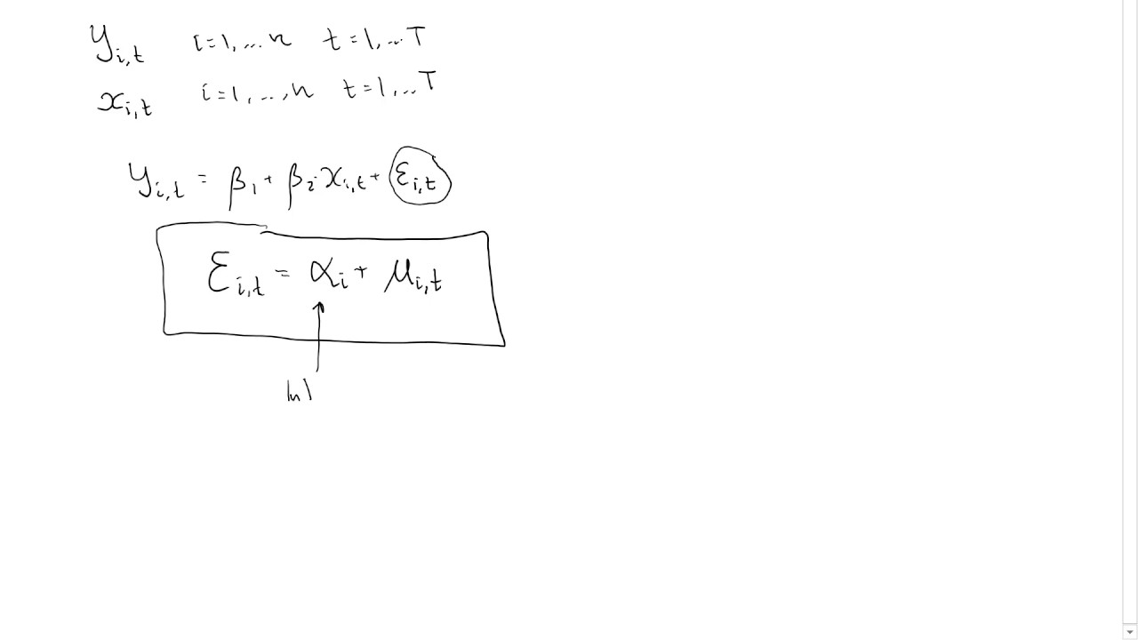
Error Model Of Software Component Download Scientific Diagram In the error components model context the existence of individual and or time effects may be tested. the test statistics can be based either on the variance decomposition approach, or on the lagrange multiplier approach. Important arguments to ercomp are: models indicates which models are estimated in order to calculate the two quadratic forms ; for example c("within", "between"). note that when only one model is provided in models, this means that the same residuals are used to compute the two quadratic forms.

Error Model Of Software Component Download Scientific Diagram
Error Model Of Software Component Download Scientific Diagram

Error Model Of Software Component Download Scientific Diagram In several recent studies, attempts have been made to analyze the problems involved in pooling cross section and time series data by error components (or variance components) regression models. these models can be formulated as k 1. If the null hypothesis is rejected, then we conclude that there are random individual differences among sample members, and that the random effects model is appropriate. These models help disentangle the error term into specific components, thereby improving the robustness of econometric estimations. Pdf | on jan 1, 2008, badi h. baltagi and others published error components models | find, read and cite all the research you need on researchgate.

Error Model Of Hardware Component Download Scientific Diagram
Error Model Of Hardware Component Download Scientific Diagram

Error Model Of Hardware Component Download Scientific Diagram These models help disentangle the error term into specific components, thereby improving the robustness of econometric estimations. Pdf | on jan 1, 2008, badi h. baltagi and others published error components models | find, read and cite all the research you need on researchgate. To build on these models and capture additional sources of unobserved heterogeneity specific to fixed object crash occupant outcomes, we explore the layering of error components on a standard mixed logit model. The error component model is the landmark model of panel data econometrics, and this chapter presents the main results about it. the error component model is a byword for the “random effects model” as opposed to the “fixed effects model”. In this paper, a one way error component regression model with measurement errors is considered. the unknown parameter vector is estimated by using the bias corrected method, and its corresponding asymptotic properties are also developed. Important arguments to ercomp are: models indicates which models are estimated in order to calculate the two quadratic forms ; for example c("within", "between"). note that when only one model is provided in models, this means that the same residuals are used to compute the two quadratic forms.

Error Component Model Estimates Download Table
Error Component Model Estimates Download Table

Error Component Model Estimates Download Table To build on these models and capture additional sources of unobserved heterogeneity specific to fixed object crash occupant outcomes, we explore the layering of error components on a standard mixed logit model. The error component model is the landmark model of panel data econometrics, and this chapter presents the main results about it. the error component model is a byword for the “random effects model” as opposed to the “fixed effects model”. In this paper, a one way error component regression model with measurement errors is considered. the unknown parameter vector is estimated by using the bias corrected method, and its corresponding asymptotic properties are also developed. Important arguments to ercomp are: models indicates which models are estimated in order to calculate the two quadratic forms ; for example c("within", "between"). note that when only one model is provided in models, this means that the same residuals are used to compute the two quadratic forms.

Error Model For Processor Component Download Scientific Diagram
Error Model For Processor Component Download Scientific Diagram

Error Model For Processor Component Download Scientific Diagram In this paper, a one way error component regression model with measurement errors is considered. the unknown parameter vector is estimated by using the bias corrected method, and its corresponding asymptotic properties are also developed. Important arguments to ercomp are: models indicates which models are estimated in order to calculate the two quadratic forms ; for example c("within", "between"). note that when only one model is provided in models, this means that the same residuals are used to compute the two quadratic forms.

Comments are closed.