Simplify your online presence. Elevate your brand.

Epa Complaint Process Diagram A Comprehensive Visual Guide

Complaint Process Flow Chart Pdf Databases Complaint
Complaint Process Flow Chart Pdf Databases Complaint

Complaint Process Flow Chart Pdf Databases Complaint The diagram showing the complaint process under the epa is a valuable tool for understanding how to file a complaint with the environmental protection agency (epa). It provides a step by step guide that simplifies complex regulations, making them accessible to the average citizen. this not only empowers communities but also ensures that the epa can efficiently identify and address environmental violations.

Epa Complaint Process Diagram A Comprehensive Visual Guide
Epa Complaint Process Diagram A Comprehensive Visual Guide

Epa Complaint Process Diagram A Comprehensive Visual Guide This may include: • providing information about the epa complaint handling policy and procedure guide (2022) • referring a complainant and complaint to another organisation where the complaint is not about the epa or is not within the epa’s jurisdiction. Assuring compliance with our nation's environmental laws is one of epa's primary commitments. in carrying out this responsibility, we use many different approaches. A free customizable complaint processing flowchart template is provided to download and print. quickly get a head start when creating your own complaint processing flowchart. Develop and prosecute environmental enforcement cases. initiate and manage national, multi regional and multi media (air, water, waste, etc.) cases against large companies.

Epa Complaint Process Diagram A Comprehensive Visual Guide
Epa Complaint Process Diagram A Comprehensive Visual Guide

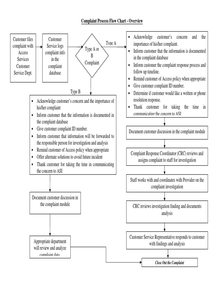
Epa Complaint Process Diagram A Comprehensive Visual Guide A free customizable complaint processing flowchart template is provided to download and print. quickly get a head start when creating your own complaint processing flowchart. Develop and prosecute environmental enforcement cases. initiate and manage national, multi regional and multi media (air, water, waste, etc.) cases against large companies. Creating a customer complaint handling system flowchart can benefit businesses and organizations in various ways. the flowchart provides a visual representation of the complaint handling process, which can ensure that each step is completed correctly and consistently. The complaint process flow chart outlines the steps taken to address customer complaints. when a customer files a complaint, customer service logs the details in the complaint database and gives the customer a complaint id number. The authorised oficer complaints management process enables reporting on routine, defined key performance indicators. this may identify negative trends or reoccurring systematic complaints. To follow these principles the epa has developed a clear and comprehensive policy about how to deal with complaints, how to deal with people who make complaints, how to resolve complaints appropriately, and how to use complaints to improve service provision in the future.

Epa Complaint Process Diagram A Comprehensive Visual Guide
Epa Complaint Process Diagram A Comprehensive Visual Guide

Epa Complaint Process Diagram A Comprehensive Visual Guide Creating a customer complaint handling system flowchart can benefit businesses and organizations in various ways. the flowchart provides a visual representation of the complaint handling process, which can ensure that each step is completed correctly and consistently. The complaint process flow chart outlines the steps taken to address customer complaints. when a customer files a complaint, customer service logs the details in the complaint database and gives the customer a complaint id number. The authorised oficer complaints management process enables reporting on routine, defined key performance indicators. this may identify negative trends or reoccurring systematic complaints. To follow these principles the epa has developed a clear and comprehensive policy about how to deal with complaints, how to deal with people who make complaints, how to resolve complaints appropriately, and how to use complaints to improve service provision in the future.

Comments are closed.