Simplify your online presence. Elevate your brand.

Emotional Intelligence For Teens Pdf

Emotional Intelligence For Teens Pdf
Emotional Intelligence For Teens Pdf

Emotional Intelligence For Teens Pdf As adolescents continue to mature and face the inevitable ups and downs of life, nurturing emotional intelligence remains a fundamental aspect of your journey toward becoming confident, empathetic, and emotionally resilient adults. Emotional intelligence for teens ages 13 18 note to parents emotional intelligence is a wide range of skills that children of all ages can develop and improve. these skills are critical for emotional well being and life success.

Emotional Intelligence For Teens Pdf
Emotional Intelligence For Teens Pdf

Emotional Intelligence For Teens Pdf This article emphasizes on the importance of emotional intelligence (ei) in adolescents and young adults. emotional intelligence can be defined as recognising, understanding and effectively managing emotions in oneself and others. This document provides resources for teaching teenagers ages 13 18 about emotional intelligence. it includes activities organized under scales of intrapersonal skills, interpersonal skills, adaptability, stress management, and general mood. This paper will focus on the various theories and models related to emotional intelligence and its significance. A module about the importance of emotional intelligence and empathy and how to practice them. funded by the european union. views and opinions expressed are however those of the author(s) only and do not necessarily reflect those of the european union or the european education and culture executive agency (eacea).

Emotional Intelligence For Teens Pdf
Emotional Intelligence For Teens Pdf

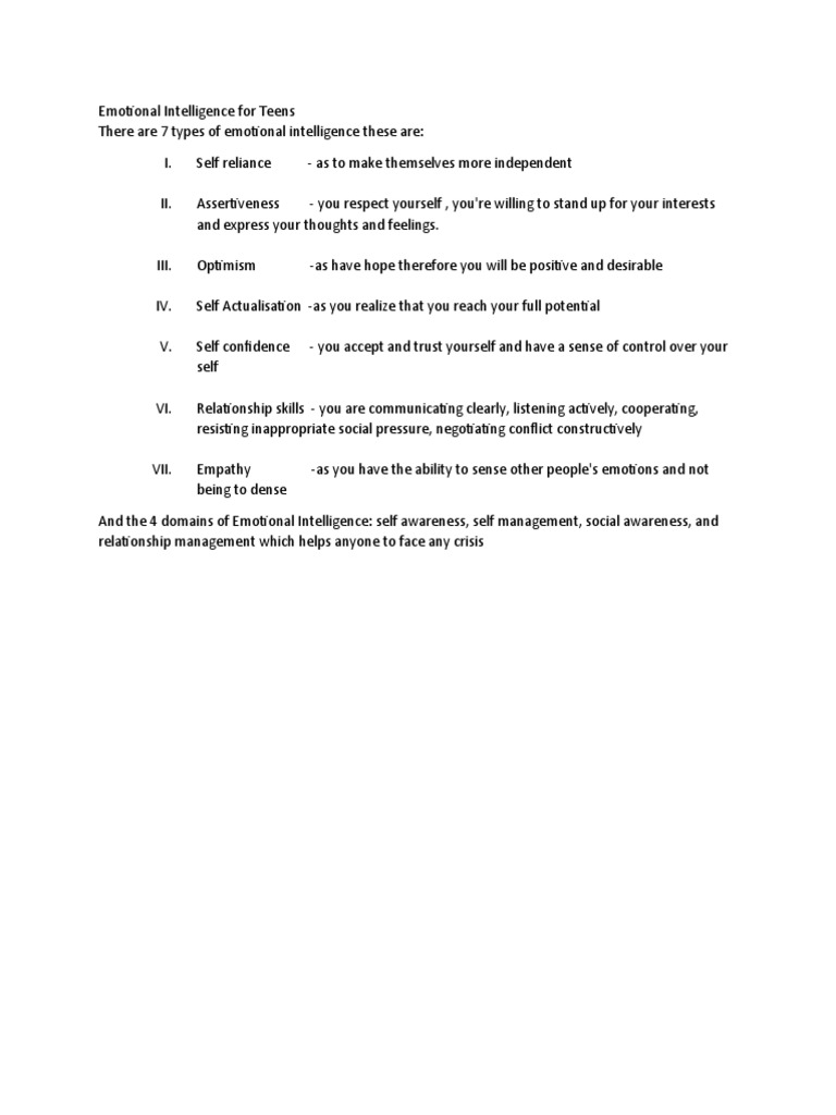
Emotional Intelligence For Teens Pdf This paper will focus on the various theories and models related to emotional intelligence and its significance. A module about the importance of emotional intelligence and empathy and how to practice them. funded by the european union. views and opinions expressed are however those of the author(s) only and do not necessarily reflect those of the european union or the european education and culture executive agency (eacea). The document discusses the 7 types of emotional intelligence for teens which are self reliance, assertiveness, optimism, self actualization, self confidence, relationship skills, and empathy. From the theories and models of emotional intelligence, the researcher could bring out a theoretical frame work which focuses on the factors that can improve emotional intelligence among adolescents. Let's talk about some emotional challenges you might face when you have big emotions or thoughts. it's totally normal to feel overwhelmed at times, and learning to handle those feelings is an important skill. The aim of the study was to develop an indigenous and theoretically sound instructional module for increasing emotional intelligence of adolescents and to assess the efficacy of this module in increasing ei of adolescents.

Emotional Intelligence For Teens Pdf
Emotional Intelligence For Teens Pdf

Emotional Intelligence For Teens Pdf The document discusses the 7 types of emotional intelligence for teens which are self reliance, assertiveness, optimism, self actualization, self confidence, relationship skills, and empathy. From the theories and models of emotional intelligence, the researcher could bring out a theoretical frame work which focuses on the factors that can improve emotional intelligence among adolescents. Let's talk about some emotional challenges you might face when you have big emotions or thoughts. it's totally normal to feel overwhelmed at times, and learning to handle those feelings is an important skill. The aim of the study was to develop an indigenous and theoretically sound instructional module for increasing emotional intelligence of adolescents and to assess the efficacy of this module in increasing ei of adolescents.

Comments are closed.