Simplify your online presence. Elevate your brand.

Efficient Lambert W Computation

Lambert W Function Pdf
Lambert W Function Pdf

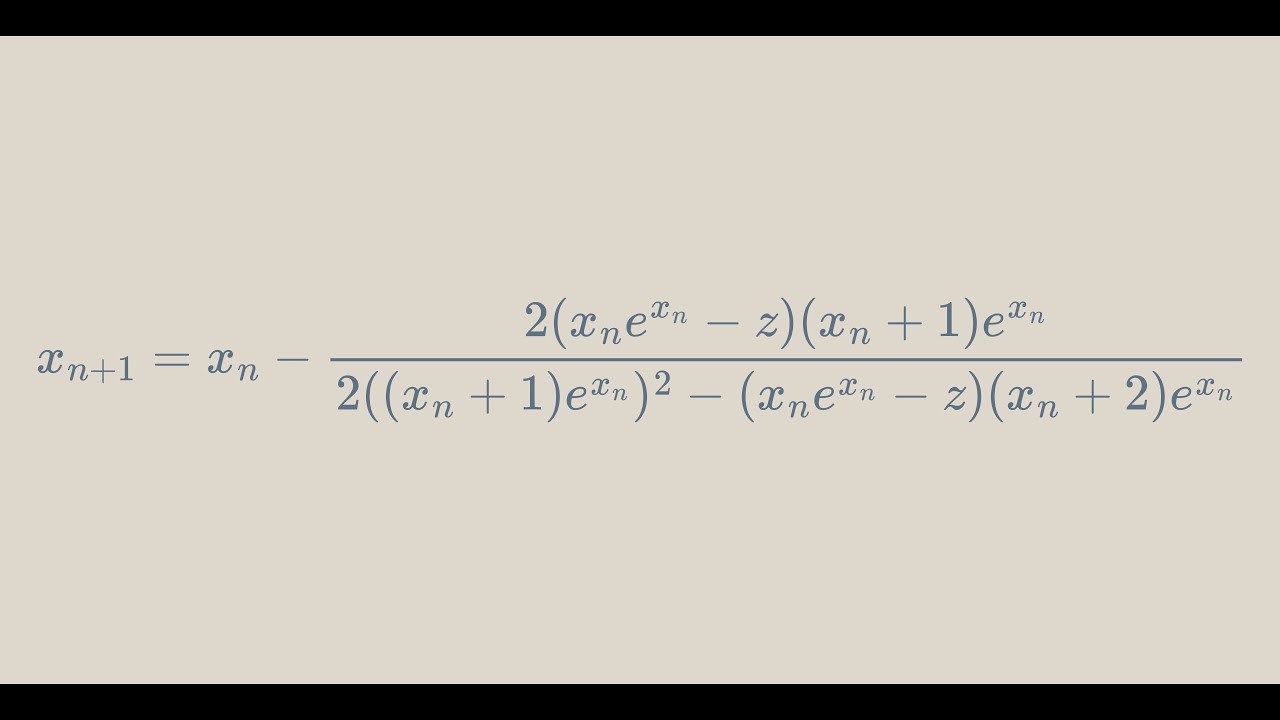
Lambert W Function Pdf In this work, we analyze an efficient logarithmic recursion with quadratic convergence rate to approximate its two real branches, w 0 and w 1. we propose suitable starting values that ensure monotone convergence on the whole domain of definition of both branches. In this video, i go over some applications of the lambert w function, the definition of the lambert w function, computing it with newton's method (mathematics and code applications), and.

Lambert W Function Simplified Expressions For Pv I V Model Pdf
Lambert W Function Simplified Expressions For Pv I V Model Pdf

Lambert W Function Simplified Expressions For Pv I V Model Pdf Precise and fast computation of lambert w functions without transcendental function evaluations. we developed a new method to compute the real valued lambert w functions, w 0 (z) and w. Many implementations of the lambert w function appear to be using different starting approximations for different portions of the input domain. my preference was for a single starting approximation across the entire input domain with a view to future vectorized implementations. It avoids transcendental function evaluations, enhancing computational efficiency. accuracy remains high, with maximum errors around 8 machine epsilons. the approach combines interval duplication and bisection for rapid convergence. applications include black body radiation temperature calculations and elliptic integral inversions. In its present form it provides results with good accuracy, with maximum error of 2.56303 ulps across the entire input domain. performance is reasonably good, with the cost of logarithmic and exponential functions mitigated as best as possible, for example by using device intrinsics.

Lambert W Function For Hp Prime
Lambert W Function For Hp Prime

Lambert W Function For Hp Prime It avoids transcendental function evaluations, enhancing computational efficiency. accuracy remains high, with maximum errors around 8 machine epsilons. the approach combines interval duplication and bisection for rapid convergence. applications include black body radiation temperature calculations and elliptic integral inversions. In its present form it provides results with good accuracy, with maximum error of 2.56303 ulps across the entire input domain. performance is reasonably good, with the cost of logarithmic and exponential functions mitigated as best as possible, for example by using device intrinsics. In this work, we analyze an efficient logarithmic recursion with quadratic convergence rate to approximate its two real branches, w 0 and w − 1. we propose suitable starting values that ensure monotone convergence on the whole domain of definition of both branches. We describe an algorithm to evaluate all the complex branches of the lambert w function with rigorous error bounds in arbitrary precision interval arithmetic or ball arithmetic. Fundamentally, computing w is a root finding problem: given x, we can find w=w(x)by finding the root (if one exists) of the function f(w)=x−wew. (the notation here is a little different than we are used to: xis a fixed parameter, and wis the variable we are trying to find to make f zero.). In this paper, the amplitude properties of the laguerre gaussian (lg) vortex beams are analyzed theoretically and demonstrated experimentally.

Lambert W Function For Hp Prime
Lambert W Function For Hp Prime

Lambert W Function For Hp Prime In this work, we analyze an efficient logarithmic recursion with quadratic convergence rate to approximate its two real branches, w 0 and w − 1. we propose suitable starting values that ensure monotone convergence on the whole domain of definition of both branches. We describe an algorithm to evaluate all the complex branches of the lambert w function with rigorous error bounds in arbitrary precision interval arithmetic or ball arithmetic. Fundamentally, computing w is a root finding problem: given x, we can find w=w(x)by finding the root (if one exists) of the function f(w)=x−wew. (the notation here is a little different than we are used to: xis a fixed parameter, and wis the variable we are trying to find to make f zero.). In this paper, the amplitude properties of the laguerre gaussian (lg) vortex beams are analyzed theoretically and demonstrated experimentally.

Lambert W Function For C99
Lambert W Function For C99

Lambert W Function For C99 Fundamentally, computing w is a root finding problem: given x, we can find w=w(x)by finding the root (if one exists) of the function f(w)=x−wew. (the notation here is a little different than we are used to: xis a fixed parameter, and wis the variable we are trying to find to make f zero.). In this paper, the amplitude properties of the laguerre gaussian (lg) vortex beams are analyzed theoretically and demonstrated experimentally.

Comments are closed.