Simplify your online presence. Elevate your brand.

Donor Intent

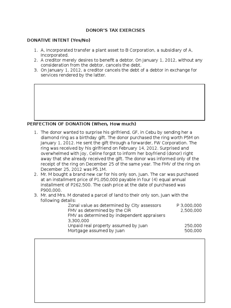
Donor S Tax Exercises Donative Intent Yes No Pdf Loans Taxes
Donor S Tax Exercises Donative Intent Yes No Pdf Loans Taxes

Donor S Tax Exercises Donative Intent Yes No Pdf Loans Taxes What is donor intent? donor intent is the expression of a donor’s values and mission for his or her philanthropy. Donor intent is most often expressed in gift restrictions, terms, or agreements between a donor and donee, but it may also be expressed separately in the words, actions, beliefs, and giving practices of a philanthropist.

Donor Intent What Is It And How Do You Honor It
Donor Intent What Is It And How Do You Honor It

Donor Intent What Is It And How Do You Honor It Donor intent is the purpose a gift. when major donors, such as feeney, give significant contributions to charity, they often make restrictions and set terms for their donations. Donor intent is the purpose of a gift—it’s where the donor wants the funds to be directed and what kind of impact they expect to see. donor intent accompanies every gift, regardless of whether or not it was explicitly stated. Most donors overlook the one thing that could undermine their entire legacy: donor intent—and a simple strategy to safeguard it. in this episode of giving ventures, we’re sharing a recent webinar we hosted for our clients on the topic of donor intent. If donors do not specify their intent when the donation is made, they cannot later control how the money is used. the organization receiving funds must honor the donor’s intent in using those funds. if they don’t, the nonprofit could face legal repercussions and damage their overall donor relations.

Donor Intent What Is It And How Do You Honor It
Donor Intent What Is It And How Do You Honor It

Donor Intent What Is It And How Do You Honor It Most donors overlook the one thing that could undermine their entire legacy: donor intent—and a simple strategy to safeguard it. in this episode of giving ventures, we’re sharing a recent webinar we hosted for our clients on the topic of donor intent. If donors do not specify their intent when the donation is made, they cannot later control how the money is used. the organization receiving funds must honor the donor’s intent in using those funds. if they don’t, the nonprofit could face legal repercussions and damage their overall donor relations. What is donor intent and why does it matter? the idea of donor intent is paramount when thinking about leaving significant resources for others to direct, whether that be family or through a board of directors. Joanne florino discusses donor intent developments, examining how nonprofits can conduct due diligence and make decisions about donations. Donor intent is the principle that donors have the right to decide how their charitable contributions are used and that charities have the duty to honor those decisions. Our resources take the guesswork out of safeguarding your donor intent and answer your most pressing questions. learn more about donor intent and why it’s important for a healthy philanthropic sector.

Donor Intent What Is It And How Do You Honor It
Donor Intent What Is It And How Do You Honor It

Donor Intent What Is It And How Do You Honor It What is donor intent and why does it matter? the idea of donor intent is paramount when thinking about leaving significant resources for others to direct, whether that be family or through a board of directors. Joanne florino discusses donor intent developments, examining how nonprofits can conduct due diligence and make decisions about donations. Donor intent is the principle that donors have the right to decide how their charitable contributions are used and that charities have the duty to honor those decisions. Our resources take the guesswork out of safeguarding your donor intent and answer your most pressing questions. learn more about donor intent and why it’s important for a healthy philanthropic sector.

Comments are closed.