Simplify your online presence. Elevate your brand.

Differential Equations For Engineers Coursera All Week1 6 Quiz Answers Solved

Differential Equations For Engineers Download Free Pdf Ordinary
Differential Equations For Engineers Download Free Pdf Ordinary

Differential Equations For Engineers Download Free Pdf Ordinary Differential equations for engineers coursera, all week (1 6) quiz answers solved coding solutions 21.3k subscribers subscribed. Welcome to coursera course answers repository! this space is dedicated to sharing solutions, notes, and helpful resources from the various courses on coursera. the goal is simple: to support fellow learners by providing guidance, reference material, and a little motivation to keep going!.

Differential Equations For Engineers Coursera
Differential Equations For Engineers Coursera

Differential Equations For Engineers Coursera Lecture notes for differential equations for engineers by jeffrey r. chasnov. covers first order odes, euler method, separable, linear equations, and applications. practice quizzes & solutions included. The notes cover various topics including first order differential equations, homogeneous and inhomogeneous linear equations, and applications such as rlc circuits and pendulums, along with practice quizzes and solutions. There are also additional problems at the end of coherent sections that are given as practice quizzes on the coursera platform. again, student should attempt these quizzes on the platform, but if a student has trouble obtaining a correct answer, full solutions are also found in the appendix. In the first five weeks, students will learn about ordinary differential equations, while the sixth week is an introduction to partial differential equations. the course includes 56 concise lecture videos, with a few problems to solve after each lecture.

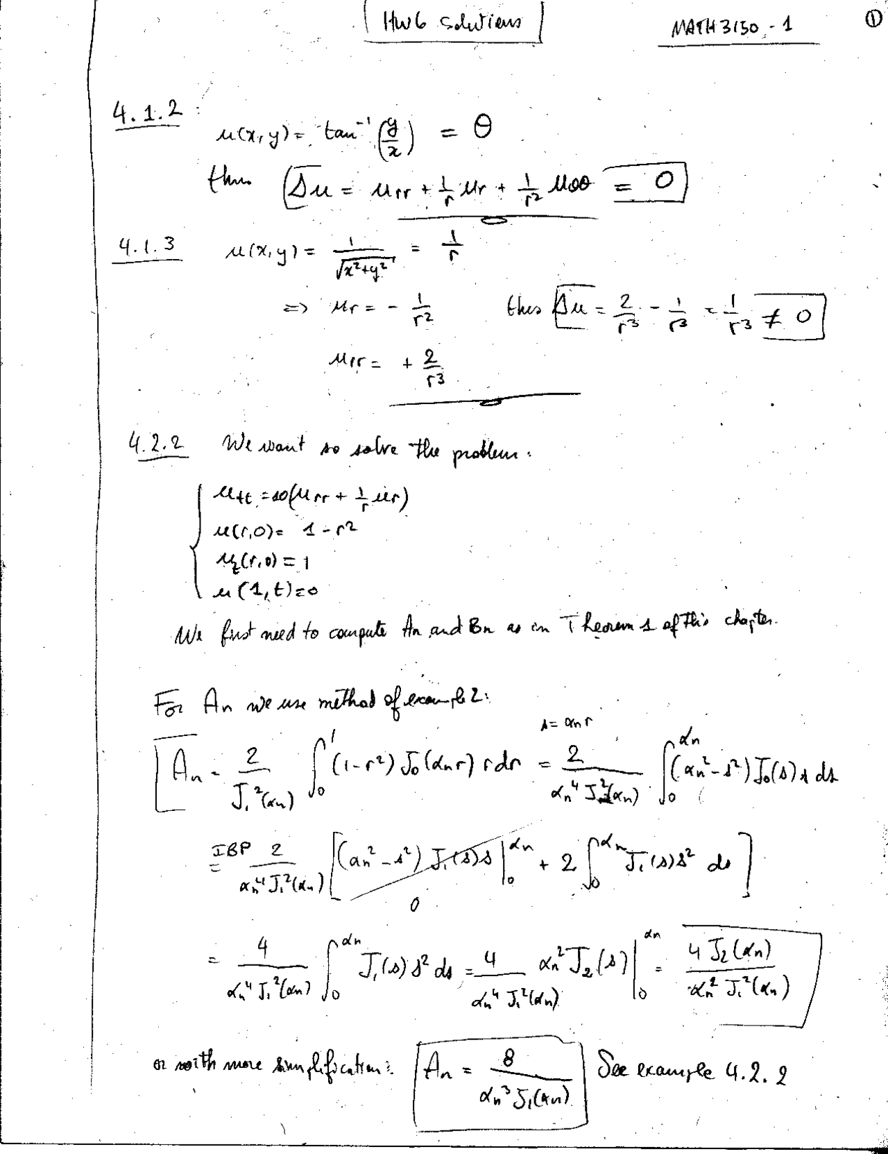
Partial Differential Equations For Engineers Homework 6 Solutions
Partial Differential Equations For Engineers Homework 6 Solutions

Partial Differential Equations For Engineers Homework 6 Solutions There are also additional problems at the end of coherent sections that are given as practice quizzes on the coursera platform. again, student should attempt these quizzes on the platform, but if a student has trouble obtaining a correct answer, full solutions are also found in the appendix. In the first five weeks, students will learn about ordinary differential equations, while the sixth week is an introduction to partial differential equations. the course includes 56 concise lecture videos, with a few problems to solve after each lecture. Solutions to the problems and practice quizzes can be found in instructor provided lecture notes. there are a total of six weeks in the course, and at the end of each week there is an assessed quiz. Differential equations for engineers: week 1 diagnostic exam answers solutions to the answers for the coursera, differential equations for engineers. There are also additional problems at the end of coherent sections that are given as practice quizzes on the coursera platform. again, students should attempt these quizzes on the platform, but if a student has trouble obtaining a correct answer, full solutions are also found in the appendix. Solutions to the problems and practice quizzes can be found in the instructor provided lecture notes. a differential equation is an equation for a function with one or more of its derivatives. we introduce different types of differential equations and how to classify them.

Solution Differential Equations For Engineers Lecture 1 Studypool
Solution Differential Equations For Engineers Lecture 1 Studypool

Solution Differential Equations For Engineers Lecture 1 Studypool Solutions to the problems and practice quizzes can be found in instructor provided lecture notes. there are a total of six weeks in the course, and at the end of each week there is an assessed quiz. Differential equations for engineers: week 1 diagnostic exam answers solutions to the answers for the coursera, differential equations for engineers. There are also additional problems at the end of coherent sections that are given as practice quizzes on the coursera platform. again, students should attempt these quizzes on the platform, but if a student has trouble obtaining a correct answer, full solutions are also found in the appendix. Solutions to the problems and practice quizzes can be found in the instructor provided lecture notes. a differential equation is an equation for a function with one or more of its derivatives. we introduce different types of differential equations and how to classify them.

Comments are closed.