Simplify your online presence. Elevate your brand.

Diff Eqn Laplace Transform Of Three Basic Functions Using The Table

Table Of Laplace Transform Pairs Download Free Pdf Mathematical
Table Of Laplace Transform Pairs Download Free Pdf Mathematical

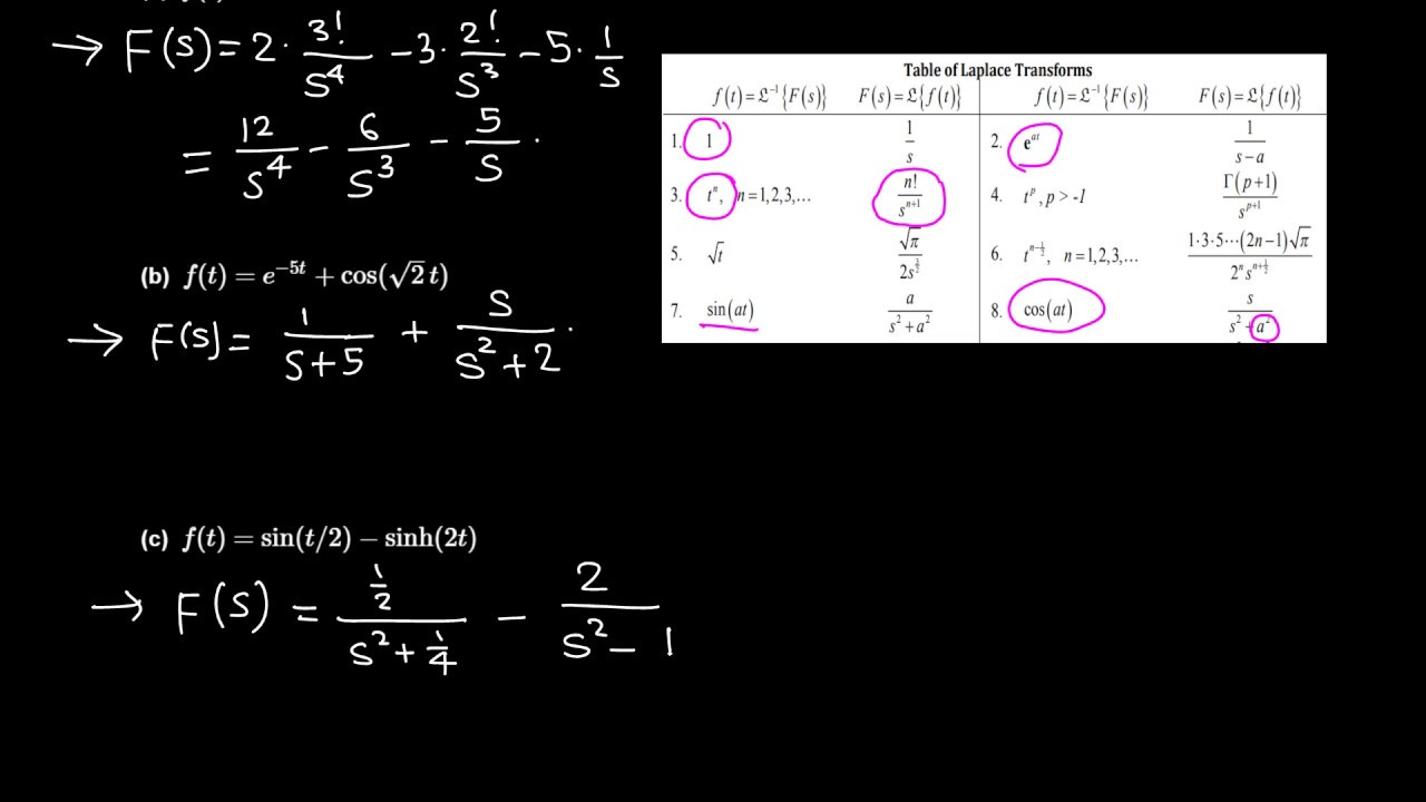
Table Of Laplace Transform Pairs Download Free Pdf Mathematical This section is the table of laplace transforms that we’ll be using in the material. we give as wide a variety of laplace transforms as possible including some that aren’t often given in tables of laplace transforms. This document provides a table of laplace transforms, listing 36 common functions and their corresponding laplace transforms. for each function f (t), it gives the laplace transform f (s).

Laplace Transform Table
Laplace Transform Table

Laplace Transform Table This guide covers the definition, the most important transform pairs, key properties, inverse transforms, and two fully worked examples of solving ordinary differential equations (odes) using the laplace method. This page contains mathematical definitions and a table of laplace transforms for various functions. it covers standard functions such as constants, powers of \ (t\), exponential, trigonometric and …. Table of laplace transforms [edit | edit source] category: book:signals and systems. A table of common laplace transforms, used in solving circuit problems in electronics.

Laplace Transform Table Pdf
Laplace Transform Table Pdf

Laplace Transform Table Pdf Table of laplace transforms [edit | edit source] category: book:signals and systems. A table of common laplace transforms, used in solving circuit problems in electronics. We introduce the laplace transform. this is an important session which covers both the conceptual and beginning computational aspects of the topic. fortunately, we have lots of professor mattuck’s videos to complement the written exposition. The following is a list of laplace transforms for many common functions of a single variable. [1] the laplace transform is an integral transform that takes a function of a positive real variable t (often time) to a function of a complex variable s (complex angular frequency). 4.9 tables of laplace transforms table 4.1: table of laplace transform table 4.2: properties of laplace transform. Appendix b table of laplace transforms 🔗 🔗 the function u is the heaviside function, δ is the dirac delta function, and Γ (t) = ∫ 0 ∞ e τ τ t 1 d τ, erf (t) = 2 π ∫ 0 t e τ 2 d τ, erfc (t) = 1 erf (t) 🔗.

4 5 Laplace Transform Of Piecewise Functions Differential Equations
4 5 Laplace Transform Of Piecewise Functions Differential Equations

4 5 Laplace Transform Of Piecewise Functions Differential Equations We introduce the laplace transform. this is an important session which covers both the conceptual and beginning computational aspects of the topic. fortunately, we have lots of professor mattuck’s videos to complement the written exposition. The following is a list of laplace transforms for many common functions of a single variable. [1] the laplace transform is an integral transform that takes a function of a positive real variable t (often time) to a function of a complex variable s (complex angular frequency). 4.9 tables of laplace transforms table 4.1: table of laplace transform table 4.2: properties of laplace transform. Appendix b table of laplace transforms 🔗 🔗 the function u is the heaviside function, δ is the dirac delta function, and Γ (t) = ∫ 0 ∞ e τ τ t 1 d τ, erf (t) = 2 π ∫ 0 t e τ 2 d τ, erfc (t) = 1 erf (t) 🔗.

Comments are closed.