Simplify your online presence. Elevate your brand.

Diff Eqn Inverse Laplace Transform Using Convolution Integral

Inverse Laplace Transform Using First Shifting Theorem Pdf
Inverse Laplace Transform Using First Shifting Theorem Pdf

Inverse Laplace Transform Using First Shifting Theorem Pdf In this section we giver a brief introduction to the convolution integral and how it can be used to take inverse laplace transforms. we also illustrate its use in solving a differential equation in which the forcing function (i.e. the term without an y’s in it) is not known. Seeing that laplace transforms are effective on integral equations as well as differential equations is quite exciting, because it allows us to start thinking about the situation where two ideas are mixed with one another.

Inverse Laplace Transform Pdf Convolution Laplace Transform
Inverse Laplace Transform Pdf Convolution Laplace Transform

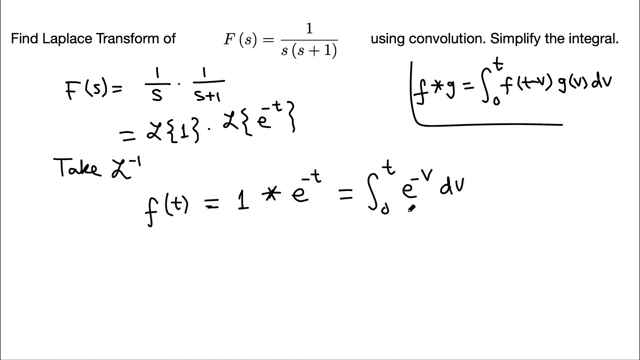
Inverse Laplace Transform Pdf Convolution Laplace Transform Lecture 3 the laplace transform 2 de ̄nition & examples 2 properties & formulas { linearity { the inverse laplace transform { time scaling { exponential scaling { time delay { derivative { integral { multiplication by t { convolution. Enjoy the videos and music you love, upload original content, and share it all with friends, family, and the world on . This section deals with the convolution theorem, an important theoretical property of the laplace transform. In this paper, we derive the inverse laplace transforms of several selected functions and present their explicit analytic representations in terms of confluent and generalized hypergeometric functions. these results are then applied to obtain several new summations formulas for alternating series involving gamma, digamma and trigamma functions.

Inverse Laplace Transform Pdf Convolution Logarithm
Inverse Laplace Transform Pdf Convolution Logarithm

Inverse Laplace Transform Pdf Convolution Logarithm This section deals with the convolution theorem, an important theoretical property of the laplace transform. In this paper, we derive the inverse laplace transforms of several selected functions and present their explicit analytic representations in terms of confluent and generalized hypergeometric functions. these results are then applied to obtain several new summations formulas for alternating series involving gamma, digamma and trigamma functions. To find the inverse laplace transform, partial fraction decomposition is very useful, but sometimes it can be very difficult to find the partial fraction decomposition, so there are cases where the inverse laplace transform can be found with the help of the convolution integral. Final answer (1 3)cos (t) (1 3)cos (2t) highlights partial fraction decomposition is crucial for simplifying the laplace transform. the convolution theorem provides an alternative method, but the integral can be complex. it's important to double check the partial fraction decomposition and the convolution integral calculations. The next example demonstrates the full power of the convolution and the laplace transform. we can give the solution to the forced oscillation problem for any forcing function as a definite integral. We define the convolution of two functions, and discuss its application to computing the inverse laplace transform of a product.

Solved Determine The Inverse Laplace Transform Using Chegg
Solved Determine The Inverse Laplace Transform Using Chegg

Solved Determine The Inverse Laplace Transform Using Chegg To find the inverse laplace transform, partial fraction decomposition is very useful, but sometimes it can be very difficult to find the partial fraction decomposition, so there are cases where the inverse laplace transform can be found with the help of the convolution integral. Final answer (1 3)cos (t) (1 3)cos (2t) highlights partial fraction decomposition is crucial for simplifying the laplace transform. the convolution theorem provides an alternative method, but the integral can be complex. it's important to double check the partial fraction decomposition and the convolution integral calculations. The next example demonstrates the full power of the convolution and the laplace transform. we can give the solution to the forced oscillation problem for any forcing function as a definite integral. We define the convolution of two functions, and discuss its application to computing the inverse laplace transform of a product.

From L Y T E 10s 10 S 1 S 2 4s 7 Write The Inverse Laplace
From L Y T E 10s 10 S 1 S 2 4s 7 Write The Inverse Laplace

From L Y T E 10s 10 S 1 S 2 4s 7 Write The Inverse Laplace The next example demonstrates the full power of the convolution and the laplace transform. we can give the solution to the forced oscillation problem for any forcing function as a definite integral. We define the convolution of two functions, and discuss its application to computing the inverse laplace transform of a product.

Comments are closed.