Simplify your online presence. Elevate your brand.

Contoh Surat Pernyataan Pdf Pdf

Contoh Surat Pernyataan Pdf Pdf
Contoh Surat Pernyataan Pdf Pdf

Contoh Surat Pernyataan Pdf Pdf Dokumen ini berisi beberapa contoh surat pernyataan, termasuk surat pernyataan domisili yayasan, pernyataan orang tua wali santri, pernyataan kelakuan baik, dan pernyataan kesediaan tidak mengundurkan diri. setiap contoh mencakup informasi penting seperti nama, alamat, dan pernyataan yang relevan. Lampiran iii surat pernyataan ng 1. warga negara indonesia (wni) yang bertakwa kepada tuhan yang maha esa, setia, dan taat kepada pancasila, uud 1945, dan negara kesatuan republik indonesia;.

Surat Pernyataan Pdf
Surat Pernyataan Pdf

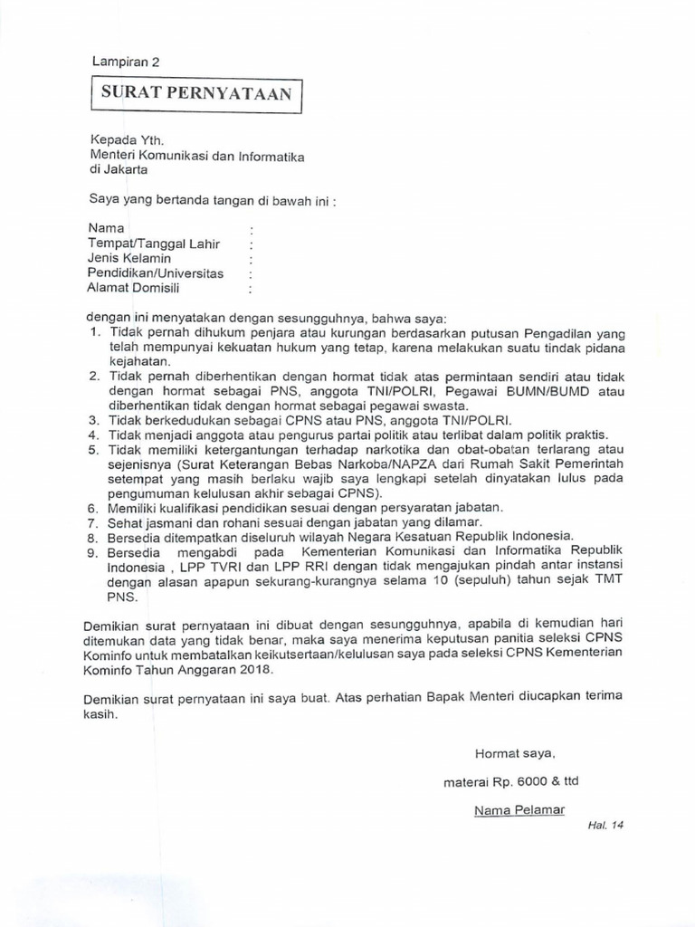
Surat Pernyataan Pdf Dapatkan template & contoh surat pernyataan bermaterai yang praktis sesuai hukum. tersedia format pdf untuk ahli waris, pekerjaan, pinjaman, hingga cpns. Demikian surat pernyataan ini dibuat dengan sebenarnya, apabila ternyata pernyataan ini tidak benar saya sanggup dituntut sesuai ketentuan peraturan perundang undangan yang berlaku. Dengan ini menyatakan sesungguhnya, bahwa saya tidak sedang terikat kontrak kerja dengan instansi lembaga lain atau tidak berkedudukan sebagai calon pns, pns, prajurit tentara nasional indonesia, atau anggota kepolisian negara republik indonesia demikian pernyataan ini saya buat dengan sesungguhnya, dan saya bersedia dituntut di pengadilan. Artikel ini akan membahas berbagai jenis surat pernyataan, mulai dari pernyataan diri, kesanggupan, cpns, hingga surat pernyataan ahli waris, lengkap dengan tips, contoh, dan panduan download dalam format pdf maupun word doc.

Contoh Surat Pernyataan Pdf
Contoh Surat Pernyataan Pdf

Contoh Surat Pernyataan Pdf Dengan ini menyatakan sesungguhnya, bahwa saya tidak sedang terikat kontrak kerja dengan instansi lembaga lain atau tidak berkedudukan sebagai calon pns, pns, prajurit tentara nasional indonesia, atau anggota kepolisian negara republik indonesia demikian pernyataan ini saya buat dengan sesungguhnya, dan saya bersedia dituntut di pengadilan. Artikel ini akan membahas berbagai jenis surat pernyataan, mulai dari pernyataan diri, kesanggupan, cpns, hingga surat pernyataan ahli waris, lengkap dengan tips, contoh, dan panduan download dalam format pdf maupun word doc. Surat pernyataan adalah salah satu jenis surat resmi yang penting untuk dipahami. yuk, simak contohnya beserta formatnya untuk berbagai keperluan berikut ini. Apabila pernyataan saya ini tidak benar di kemudian hari, maka saya bersedia menerima sanksi dan bertanggung jawab sesuai dengan ketentuan perundang undangan yang berlaku. Bingung cara isi surat pernyataan sppi koperasi merah putih? simak panduan lengkap unduh draf, cara ketik, hingga aturan pasang e meterai agar lolos seleksi administrasi. Surat pernyataan pendaftaran koperasi desa kelurahan merah putih berfungsi sebagai dokumen legal yang mengikat anda secara hukum. di dalam surat tersebut, pelamar pada umumnya diwajibkan untuk menyatakan beberapa poin krusial, antara lain: kesetiaan dan ketaatan kepada pancasila, uud 1945, dan negara kesatuan republik indonesia.

Contoh Surat Pernyataan Pdf
Contoh Surat Pernyataan Pdf

Contoh Surat Pernyataan Pdf Surat pernyataan adalah salah satu jenis surat resmi yang penting untuk dipahami. yuk, simak contohnya beserta formatnya untuk berbagai keperluan berikut ini. Apabila pernyataan saya ini tidak benar di kemudian hari, maka saya bersedia menerima sanksi dan bertanggung jawab sesuai dengan ketentuan perundang undangan yang berlaku. Bingung cara isi surat pernyataan sppi koperasi merah putih? simak panduan lengkap unduh draf, cara ketik, hingga aturan pasang e meterai agar lolos seleksi administrasi. Surat pernyataan pendaftaran koperasi desa kelurahan merah putih berfungsi sebagai dokumen legal yang mengikat anda secara hukum. di dalam surat tersebut, pelamar pada umumnya diwajibkan untuk menyatakan beberapa poin krusial, antara lain: kesetiaan dan ketaatan kepada pancasila, uud 1945, dan negara kesatuan republik indonesia.

Comments are closed.