Simplify your online presence. Elevate your brand.

Classical Mechanics L22 Coupled Pendulums Normal Modes

Coupled Pendulums Pdf Normal Mode Pendulum
Coupled Pendulums Pdf Normal Mode Pendulum

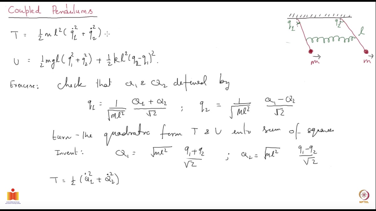
Coupled Pendulums Pdf Normal Mode Pendulum Introduction to classical mechanics (12 weeks course) prof. anurag tripathi iit hyderabad more. Normal modes of coupled pendulums in chapter 5, french considers masses coupled by springs or by a string under tension, with the masses at the ends attached to a fixed points.

Coupled Pendulums Learn Mechanics By Programming
Coupled Pendulums Learn Mechanics By Programming

Coupled Pendulums Learn Mechanics By Programming Normal modes are the generalisation of the resonant frequency for a single oscillator, and once the system is in a normal mode it does not decay or change its motion into another mode (unless there is damping). There are only two of these "special" modes of oscillation for this system, and these are called the system's normal modes. it turns out that these modes exist for every system, including those that are not symmetric (different masses, different spring constants, etc.). In this lab, you will experiment with the motion of two simple pendulums coupled by a rubber band, which allows the two pendulums to interact. while the general motion of this system might seem complicated, any motion of this system can be described by the sum of two normal modes. The document discusses coupled oscillations, focusing on the general method for finding normal modes in a system of two coupled oscillators. it outlines the equations of motion, the process to derive eigenvalues and eigenvectors, and the concept of normal coordinates.

Coupled Pendulums Learn Mechanics By Programming
Coupled Pendulums Learn Mechanics By Programming

Coupled Pendulums Learn Mechanics By Programming In this lab, you will experiment with the motion of two simple pendulums coupled by a rubber band, which allows the two pendulums to interact. while the general motion of this system might seem complicated, any motion of this system can be described by the sum of two normal modes. The document discusses coupled oscillations, focusing on the general method for finding normal modes in a system of two coupled oscillators. it outlines the equations of motion, the process to derive eigenvalues and eigenvectors, and the concept of normal coordinates. We encounter the important concepts of normal modes and normal coordinates. we then add on driving and damping forces and apply some results from chapter 1. in section 2.2 we move up a step and solve the analogous problem involving three masses. For two identical coupled pendulums, the two normal modes are: (1) both pendulums swinging in phase at the same amplitude (symmetric mode), and (2) both swinging exactly out of phase (antisymmetric mode). An excel program, normal modes modeling, can be found in your physics 103 folder. it provides a fun way of confirming that two sinusoidal functions can generate the complex behavior that you observed with the two pendulums. Explore coupled oscillators, normal modes, and equations of motion with this physics lecture note. learn about the symmetry method and solutions.

Coupled Pendulums Learn Mechanics By Programming
Coupled Pendulums Learn Mechanics By Programming

Coupled Pendulums Learn Mechanics By Programming We encounter the important concepts of normal modes and normal coordinates. we then add on driving and damping forces and apply some results from chapter 1. in section 2.2 we move up a step and solve the analogous problem involving three masses. For two identical coupled pendulums, the two normal modes are: (1) both pendulums swinging in phase at the same amplitude (symmetric mode), and (2) both swinging exactly out of phase (antisymmetric mode). An excel program, normal modes modeling, can be found in your physics 103 folder. it provides a fun way of confirming that two sinusoidal functions can generate the complex behavior that you observed with the two pendulums. Explore coupled oscillators, normal modes, and equations of motion with this physics lecture note. learn about the symmetry method and solutions.

Coupled Oscillations In Classical Mechanics Course Hero
Coupled Oscillations In Classical Mechanics Course Hero

Coupled Oscillations In Classical Mechanics Course Hero An excel program, normal modes modeling, can be found in your physics 103 folder. it provides a fun way of confirming that two sinusoidal functions can generate the complex behavior that you observed with the two pendulums. Explore coupled oscillators, normal modes, and equations of motion with this physics lecture note. learn about the symmetry method and solutions.

Comments are closed.