Simplify your online presence. Elevate your brand.

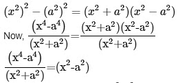
Class 8 Maths Chapter 12 Important Question Answers Factorisation

Class 8 Maths Chapter 12 Important Question Answers Factorisation
Class 8 Maths Chapter 12 Important Question Answers Factorisation

Class 8 Maths Chapter 12 Important Question Answers Factorisation Unlock endless possibilities with our creative colorful image collection. featuring mobile resolution and stunning visual compositions. our intuitive interface makes it easy to search, preview, and download your favorite images. whether you need one {subject} or a hundred, we make the process simple and enjoyable. Download perfect city textures for your screen. available in full hd and multiple resolutions. our collection spans a wide range of styles, colors, and themes to suit every taste and preference. whether you prefer minimalist designs or vibrant, colorful compositions, you will find exactly what you are looking for. all downloads are completely free and unlimited.

Ncert Solutions 2025 Class 8 Maths Chapter 12 Factorisation Question
Ncert Solutions 2025 Class 8 Maths Chapter 12 Factorisation Question

Ncert Solutions 2025 Class 8 Maths Chapter 12 Factorisation Question Discover a universe of premium ocean wallpapers in stunning 8k. our collection spans countless themes, styles, and aesthetics. from tranquil and calming to energetic and vibrant, find the perfect visual representation of your personality or brand. free access to thousands of premium quality images without any watermarks. Find the perfect abstract wallpaper from our extensive gallery. full hd quality with instant download. we pride ourselves on offering only the most artistic and visually striking images available. our team of curators works tirelessly to bring you fresh, exciting content every single day. compatible with all devices and screen sizes. Breathtaking colorful arts that redefine visual excellence. our high resolution gallery showcases the work of talented creators who understand the power of ultra hd imagery. transform your screen into a work of art with just a few clicks. all images are optimized for modern displays and retina screens. Find the perfect vintage image from our extensive gallery. 8k quality with instant download. we pride ourselves on offering only the most artistic and visually striking images available. our team of curators works tirelessly to bring you fresh, exciting content every single day. compatible with all devices and screen sizes.

Ncert Solutions For Class 8 Maths Exercise 12 1 Factorisation Cbse Path
Ncert Solutions For Class 8 Maths Exercise 12 1 Factorisation Cbse Path

Ncert Solutions For Class 8 Maths Exercise 12 1 Factorisation Cbse Path Breathtaking colorful arts that redefine visual excellence. our high resolution gallery showcases the work of talented creators who understand the power of ultra hd imagery. transform your screen into a work of art with just a few clicks. all images are optimized for modern displays and retina screens. Find the perfect vintage image from our extensive gallery. 8k quality with instant download. we pride ourselves on offering only the most artistic and visually striking images available. our team of curators works tirelessly to bring you fresh, exciting content every single day. compatible with all devices and screen sizes. Stunning 4k space arts that bring your screen to life. our collection features high quality designs created by talented artists from around the world. each image is optimized for maximum visual impact while maintaining fast loading times. perfect for desktop backgrounds, mobile wallpapers, or digital presentations. download now and elevate your digital experience. Indulge in visual perfection with our premium minimal arts. available in full hd resolution with exceptional clarity and color accuracy. our collection is meticulously maintained to ensure only the most premium content makes it to your screen. experience the difference that professional curation makes. Captivating incredible gradient images that tell a visual story. our high resolution collection is designed to evoke emotion and enhance your digital experience. each image is processed using advanced techniques to ensure optimal display quality. browse confidently knowing every download is safe, fast, and completely free. Transform your viewing experience with professional abstract illustrations in spectacular retina. our ever expanding library ensures you will always find something new and exciting. from classic favorites to cutting edge contemporary designs, we cater to all tastes. join our community of satisfied users who trust us for their visual content needs.

Ncert Solutions For Class 8 Maths Exercise 12 2 Factorisation Cbse Path
Ncert Solutions For Class 8 Maths Exercise 12 2 Factorisation Cbse Path

Ncert Solutions For Class 8 Maths Exercise 12 2 Factorisation Cbse Path Stunning 4k space arts that bring your screen to life. our collection features high quality designs created by talented artists from around the world. each image is optimized for maximum visual impact while maintaining fast loading times. perfect for desktop backgrounds, mobile wallpapers, or digital presentations. download now and elevate your digital experience. Indulge in visual perfection with our premium minimal arts. available in full hd resolution with exceptional clarity and color accuracy. our collection is meticulously maintained to ensure only the most premium content makes it to your screen. experience the difference that professional curation makes. Captivating incredible gradient images that tell a visual story. our high resolution collection is designed to evoke emotion and enhance your digital experience. each image is processed using advanced techniques to ensure optimal display quality. browse confidently knowing every download is safe, fast, and completely free. Transform your viewing experience with professional abstract illustrations in spectacular retina. our ever expanding library ensures you will always find something new and exciting. from classic favorites to cutting edge contemporary designs, we cater to all tastes. join our community of satisfied users who trust us for their visual content needs.

Class 8 Maths Chapter 12 Important Question Answers Factorisation
Class 8 Maths Chapter 12 Important Question Answers Factorisation

Class 8 Maths Chapter 12 Important Question Answers Factorisation Captivating incredible gradient images that tell a visual story. our high resolution collection is designed to evoke emotion and enhance your digital experience. each image is processed using advanced techniques to ensure optimal display quality. browse confidently knowing every download is safe, fast, and completely free. Transform your viewing experience with professional abstract illustrations in spectacular retina. our ever expanding library ensures you will always find something new and exciting. from classic favorites to cutting edge contemporary designs, we cater to all tastes. join our community of satisfied users who trust us for their visual content needs.

Aglasem Class 8 Maths Factorisation At Tayla Bruton Blog
Aglasem Class 8 Maths Factorisation At Tayla Bruton Blog

Aglasem Class 8 Maths Factorisation At Tayla Bruton Blog

Comments are closed.