Simplify your online presence. Elevate your brand.

Chapter 4 Adjusting Entries Pdf

Chapter 4 Adjusting Entries Pdf
Chapter 4 Adjusting Entries Pdf

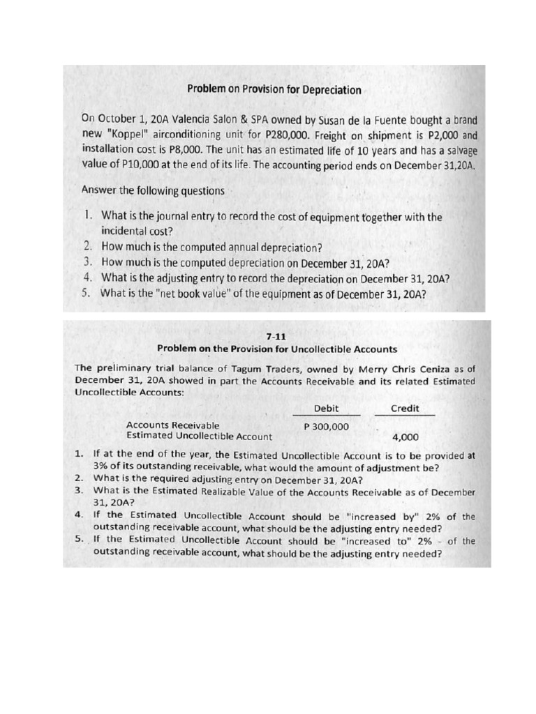
Chapter 4 Adjusting Entries Pdf Chapter 4 adjusting entries free download as pdf file (.pdf), text file (.txt) or read online for free. chapter 4 discusses adjusting entries, which are crucial for accurate financial reporting in accrual accounting. The chapter includes practical examples of adjusting entries for various accounts like insurance expense, depreciation, and interest payable, as well as comprehensive structures for presenting financial performance and position statements.

Adjusting Entries Pdf
Adjusting Entries Pdf

Adjusting Entries Pdf Requires students to prepare adjusting entries, classify them as accruals or deferrals, and discuss the difference between the book value of an asset and its fair market value. Companies need to make periodic adjusting entries for depreciation, just as they do for other prepaid expenses.these entries recognize the cost that has been used (an expense) during the period and report the unexpired cost (an asset) at the end of the period. Adjusting entries are made in the general journal only on the last day of the reporting period. there are two major categories of adjusting entries — deferrals and accruals. From the information on the previous slide, john black made the following journal entries.

Adjusting Entries Pdf
Adjusting Entries Pdf

Adjusting Entries Pdf Adjusting entries are made in the general journal only on the last day of the reporting period. there are two major categories of adjusting entries — deferrals and accruals. From the information on the previous slide, john black made the following journal entries. Chapter 4 study guide: adjustments, financial statements, and financial results introduction to adjustments adjustments are necessary in accounting to ensure that the financial statements accurately reflect the company’s financial position at the end of an accounting period. Adjusting entries are needed to ensure that the revenue recognition and expense recognition principles are followed. the records of such transactions in the book of prime entry are called adjustments. In our discussion of adjusting entries for prepaid expenses and unearned revenues, we illustrated transactions for which the initial entries were made to balance sheet accounts. Certain circumstances require adjusting entries to record accounting estimates. examples include depreciation bad debts income taxes.

Comments are closed.