Simplify your online presence. Elevate your brand.

Chapter 2 Pricing Marketing

Chapter 9 Pricing With Marketing Mix Pdf Pricing Discounts And
Chapter 9 Pricing With Marketing Mix Pdf Pricing Discounts And

Chapter 9 Pricing With Marketing Mix Pdf Pricing Discounts And Chapter 2 of the document focuses on the fundamentals of pricing, outlining various pricing strategies and the internal and external factors that influence pricing decisions. According to w.j.stanon, “pricing is the functions of determining the products value in monetary terms.” pricing is the process whereby a business sets the price at which it will sell its products and services, and may be part of the business's marketing plan.

Chapter 4 Pricing Pdf Pricing Prices
Chapter 4 Pricing Pdf Pricing Prices

Chapter 4 Pricing Pdf Pricing Prices Chapter 2 pricing in the marketing mix in this chapter the role of pr. cing in the marketing mix is examined. an emphasis is placed on its importance and sample applications from the literature in which pricing strategies were developed alongside with the developme. Pricing is one of the 4p's of marketing mix which plays a very important role .all other p's are cost for the company whereas pricing is revenue for the company pricing means determining the price of the product a firm is selling or going to sell while determining a price it involves various pricing decisions which are to be taken while deciding. Preview text chapter 2 subtopics: analyzing competitors’ costs, prices, and offers within the range of possible prices determined by market demand and company costs, the firm must take into account its competitors' costs, prices, and possible price reactions. Because price is the revenue generating element of the marketing mix, it is vital that marketers set the right price both to match buyer perceptions and to maximize company profits.

Chapter 2 Principles Of Marketing Pdf Market Segmentation Marketing
Chapter 2 Principles Of Marketing Pdf Market Segmentation Marketing

Chapter 2 Principles Of Marketing Pdf Market Segmentation Marketing Preview text chapter 2 subtopics: analyzing competitors’ costs, prices, and offers within the range of possible prices determined by market demand and company costs, the firm must take into account its competitors' costs, prices, and possible price reactions. Because price is the revenue generating element of the marketing mix, it is vital that marketers set the right price both to match buyer perceptions and to maximize company profits. This document explores various aspects of pricing management in marketing, including definitions, approaches, and processes for setting prices. it emphasizes the importance of understanding costs, competition, and customer perceptions in effective pricing strategies. Price can be a potent strategic weapon, but it can also be a double edged sword. amazon , its seems, wants to be the “walmart of the web” our digital general store—and it’s well on its way to achieving that goal. although walmart’s overall sales total an in credible $405 billion a year, 20 times amazon’s $20 billion an nually. It outlines objectives of pricing like profitability, market related goals, and public relations goals including maximizing profits, market share, and enhancing brand image. In setting the price between these two extremes, the company must consider several internal and external factors, including the competitor’s strategies and prices, the overall marketing strategy and mix, and the nature of the market and demand.

Marketing I Pdf Marketing Pricing
Marketing I Pdf Marketing Pricing

Marketing I Pdf Marketing Pricing This document explores various aspects of pricing management in marketing, including definitions, approaches, and processes for setting prices. it emphasizes the importance of understanding costs, competition, and customer perceptions in effective pricing strategies. Price can be a potent strategic weapon, but it can also be a double edged sword. amazon , its seems, wants to be the “walmart of the web” our digital general store—and it’s well on its way to achieving that goal. although walmart’s overall sales total an in credible $405 billion a year, 20 times amazon’s $20 billion an nually. It outlines objectives of pricing like profitability, market related goals, and public relations goals including maximizing profits, market share, and enhancing brand image. In setting the price between these two extremes, the company must consider several internal and external factors, including the competitor’s strategies and prices, the overall marketing strategy and mix, and the nature of the market and demand.

Chapter 2 Marketing Ppt Pptx
Chapter 2 Marketing Ppt Pptx

Chapter 2 Marketing Ppt Pptx It outlines objectives of pricing like profitability, market related goals, and public relations goals including maximizing profits, market share, and enhancing brand image. In setting the price between these two extremes, the company must consider several internal and external factors, including the competitor’s strategies and prices, the overall marketing strategy and mix, and the nature of the market and demand.

Chapter 19 The Marketing Mix Pricing Strategies Pdf Pricing
Chapter 19 The Marketing Mix Pricing Strategies Pdf Pricing

Chapter 19 The Marketing Mix Pricing Strategies Pdf Pricing

Chapter 1 Introduction Pricing As An Element Of The Marketing Mix
Chapter 1 Introduction Pricing As An Element Of The Marketing Mix

Chapter 1 Introduction Pricing As An Element Of The Marketing Mix

Principles Of Marketing Chapter 2 1 Pdf
Principles Of Marketing Chapter 2 1 Pdf

Principles Of Marketing Chapter 2 1 Pdf

Marketing Unit 4 Pdf Pricing Marketing
Marketing Unit 4 Pdf Pricing Marketing

Marketing Unit 4 Pdf Pricing Marketing

Chapter 4 Pricing Pdf
Chapter 4 Pricing Pdf

Chapter 4 Pricing Pdf

Chapter 14 Marketing Pricing Concepts For Capturing Value Pdf
Chapter 14 Marketing Pricing Concepts For Capturing Value Pdf

Chapter 14 Marketing Pricing Concepts For Capturing Value Pdf

Pricing Marketing Pdf
Pricing Marketing Pdf

Pricing Marketing Pdf

Chapter 13 The Marketing Mix Price Pdf Pricing Profit Economics
Chapter 13 The Marketing Mix Price Pdf Pricing Profit Economics

Chapter 13 The Marketing Mix Price Pdf Pricing Profit Economics

Pricing Strategies Markups Cost Plus Discounts
Pricing Strategies Markups Cost Plus Discounts

Pricing Strategies Markups Cost Plus Discounts

Marketing Chapter 2 Pptx
Marketing Chapter 2 Pptx

Marketing Chapter 2 Pptx

Chapter 8 Pricing In B2b Marketing Chapter 8 Pricing In Business
Chapter 8 Pricing In B2b Marketing Chapter 8 Pricing In Business

Chapter 8 Pricing In B2b Marketing Chapter 8 Pricing In Business

Chapter 2 Marketing Pdf
Chapter 2 Marketing Pdf

Chapter 2 Marketing Pdf

Chapter 4 Marketing Pdf Direct Marketing Pricing
Chapter 4 Marketing Pdf Direct Marketing Pricing

Chapter 4 Marketing Pdf Direct Marketing Pricing

Pricing Pdf Pricing Marketing
Pricing Pdf Pricing Marketing

Pricing Pdf Pricing Marketing

Principles Of Marketing Price Pdf
Principles Of Marketing Price Pdf

Principles Of Marketing Price Pdf

Marketing Chapter 2 3 Pdf Wellness
Marketing Chapter 2 3 Pdf Wellness

Marketing Chapter 2 3 Pdf Wellness

Marketing Chapter 5 Pdf Pricing Prices
Marketing Chapter 5 Pdf Pricing Prices

Marketing Chapter 5 Pdf Pricing Prices

Chapter 2 Marketing Principles Notes Slides Pdf
Chapter 2 Marketing Principles Notes Slides Pdf

Chapter 2 Marketing Principles Notes Slides Pdf

2 Q2 Marketing Pdf Pricing Marketing
2 Q2 Marketing Pdf Pricing Marketing

2 Q2 Marketing Pdf Pricing Marketing

Marketing Chapter 2 Pptx
Marketing Chapter 2 Pptx

Marketing Chapter 2 Pptx

Sv Chapter 2 Principles Of Marketing Pdf
Sv Chapter 2 Principles Of Marketing Pdf

Sv Chapter 2 Principles Of Marketing Pdf

Pricing Strategy Chapter 2 2 Pdf Gross Margin Business Process
Pricing Strategy Chapter 2 2 Pdf Gross Margin Business Process

Pricing Strategy Chapter 2 2 Pdf Gross Margin Business Process

Chapter 6 Marketing Pdf Marketing Pricing
Chapter 6 Marketing Pdf Marketing Pricing

Chapter 6 Marketing Pdf Marketing Pricing

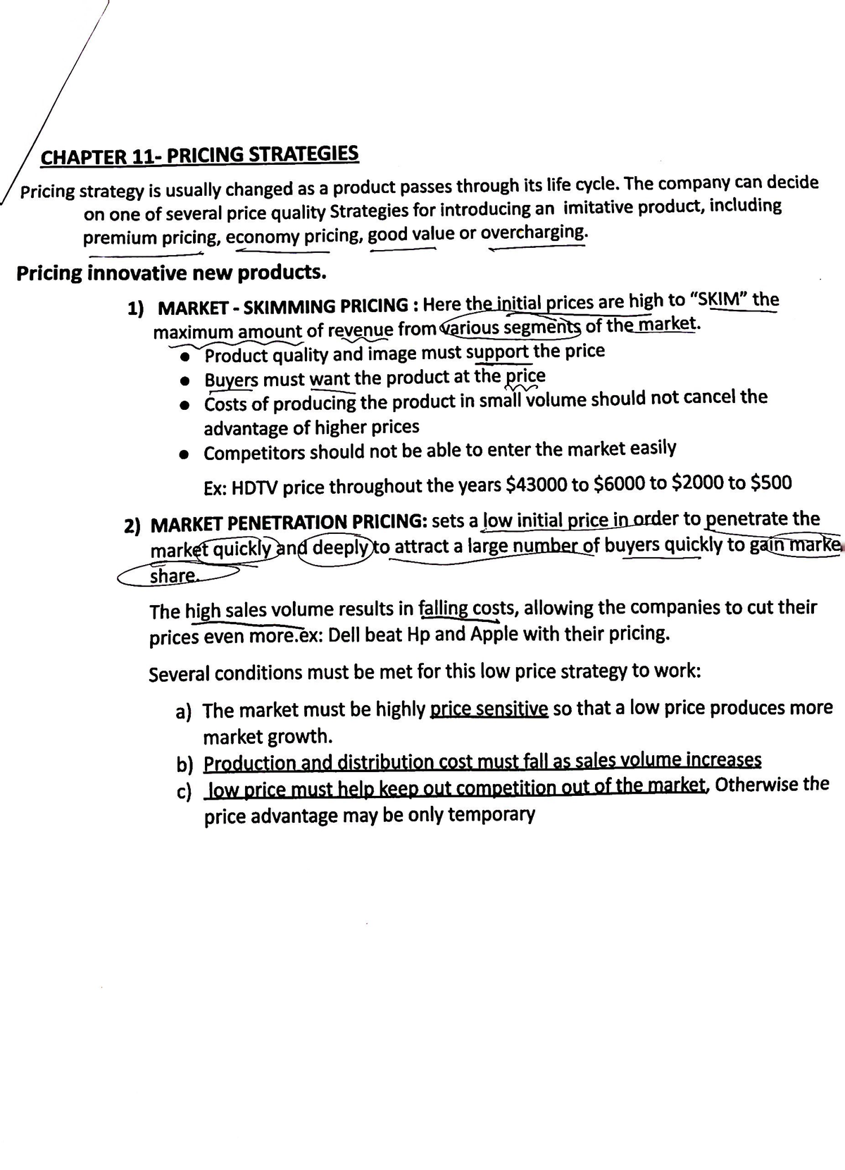
Chapter 11 Pricing Strategy Principles Of Marketing Studocu
Chapter 11 Pricing Strategy Principles Of Marketing Studocu

Chapter 11 Pricing Strategy Principles Of Marketing Studocu

Effective Pricing Strategies Explained Pdf Pricing Marketing
Effective Pricing Strategies Explained Pdf Pricing Marketing

Effective Pricing Strategies Explained Pdf Pricing Marketing

Marketing Chapter 2 Pdf Marketing Marketing Strategy
Marketing Chapter 2 Pdf Marketing Marketing Strategy

Marketing Chapter 2 Pdf Marketing Marketing Strategy

Principle Of Marketing Chapter 2 Pdf Marketing Market Economics
Principle Of Marketing Chapter 2 Pdf Marketing Market Economics

Principle Of Marketing Chapter 2 Pdf Marketing Market Economics

Chapter 4 1 Pdf Marketing Pricing
Chapter 4 1 Pdf Marketing Pricing

Chapter 4 1 Pdf Marketing Pricing

Chapter 2 Marketing Pdf
Chapter 2 Marketing Pdf

Chapter 2 Marketing Pdf

Chapter 2 Marketing Fundamentals Pdf Marketing Sales
Chapter 2 Marketing Fundamentals Pdf Marketing Sales

Chapter 2 Marketing Fundamentals Pdf Marketing Sales

Comments are closed.