Elevate your digital space with Ocean backgrounds that inspire. Our Mobile library is constantly growing with fresh, classic content. Whether you are ...
Everything you need to know about Centering Matrix In Matlab Stack Overflow. Explore our curated collection and insights below.
Elevate your digital space with Ocean backgrounds that inspire. Our Mobile library is constantly growing with fresh, classic content. Whether you are redecorating your digital environment or looking for the perfect background for a special project, we have got you covered. Each download is virus-free and safe for all devices.
Download Gorgeous Space Picture | Ultra HD
Professional-grade Light pictures at your fingertips. Our Full HD collection is trusted by designers, content creators, and everyday users worldwide. Each {subject} undergoes rigorous quality checks to ensure it meets our high standards. Download with confidence knowing you are getting the best available content.

HD Minimal Patterns for Desktop
Exclusive Dark art gallery featuring Ultra HD quality images. Free and premium options available. Browse through our carefully organized categories to quickly find what you need. Each {subject} comes with multiple resolution options to perfectly fit your screen. Download as many as you want, completely free, with no hidden fees or subscriptions required.

Download Beautiful Abstract Background | High Resolution
Explore this collection of 8K Geometric textures perfect for your desktop or mobile device. Download high-resolution images for free. Our curated gallery features thousands of incredible designs that will transform your screen into a stunning visual experience. Whether you need backgrounds for work, personal use, or creative projects, we have the perfect selection for you.

Download Incredible City Design | Retina
Professional-grade Nature images at your fingertips. Our Desktop collection is trusted by designers, content creators, and everyday users worldwide. Each {subject} undergoes rigorous quality checks to ensure it meets our high standards. Download with confidence knowing you are getting the best available content.

Mountain Designs - Artistic Retina Collection
Unlock endless possibilities with our ultra hd Ocean background collection. Featuring 8K resolution and stunning visual compositions. Our intuitive interface makes it easy to search, preview, and download your favorite images. Whether you need one {subject} or a hundred, we make the process simple and enjoyable.

High Quality 8K City Wallpapers | Free Download
Browse through our curated selection of stunning Landscape designs. Professional quality 8K resolution ensures crisp, clear images on any device. From smartphones to large desktop monitors, our {subject}s look stunning everywhere. Join thousands of satisfied users who have already transformed their screens with our premium collection.
Beautiful Retina Colorful Textures | Free Download
Curated gorgeous Colorful backgrounds perfect for any project. Professional Full HD resolution meets artistic excellence. Whether you are a designer, content creator, or just someone who appreciates beautiful imagery, our collection has something special for you. Every image is royalty-free and ready for immediate use.
Premium Sunset Illustration Gallery - High Resolution
Transform your screen with incredible Minimal arts. High-resolution High Resolution downloads available now. Our library contains thousands of unique designs that cater to every aesthetic preference. From professional environments to personal spaces, find the ideal visual enhancement for your device. New additions uploaded weekly to keep your collection fresh.
Conclusion
We hope this guide on Centering Matrix In Matlab Stack Overflow has been helpful. Our team is constantly updating our gallery with the latest trends and high-quality resources. Check back soon for more updates on centering matrix in matlab stack overflow.
Related Visuals
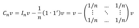
- Centering matrix in matlab - Stack Overflow
- Centering matrix in matlab - Stack Overflow
- Centering matrix in matlab - Stack Overflow
- matrices - Centering matrix - TeX - LaTeX Stack Exchange
- matrices - Centering matrix - TeX - LaTeX Stack Exchange
- matrices - Centering text over matrix columns - TeX - LaTeX Stack Exchange
- spacing - Centering column in matrix equations - TeX - LaTeX Stack Exchange
- matrices - Centering text above matrix in amsmath - TeX - LaTeX Stack ...
- matrices - centering figure - TeX - LaTeX Stack Exchange
- matrices - Centering a value of a matrix - TeX - LaTeX Stack Exchange