Simplify your online presence. Elevate your brand.

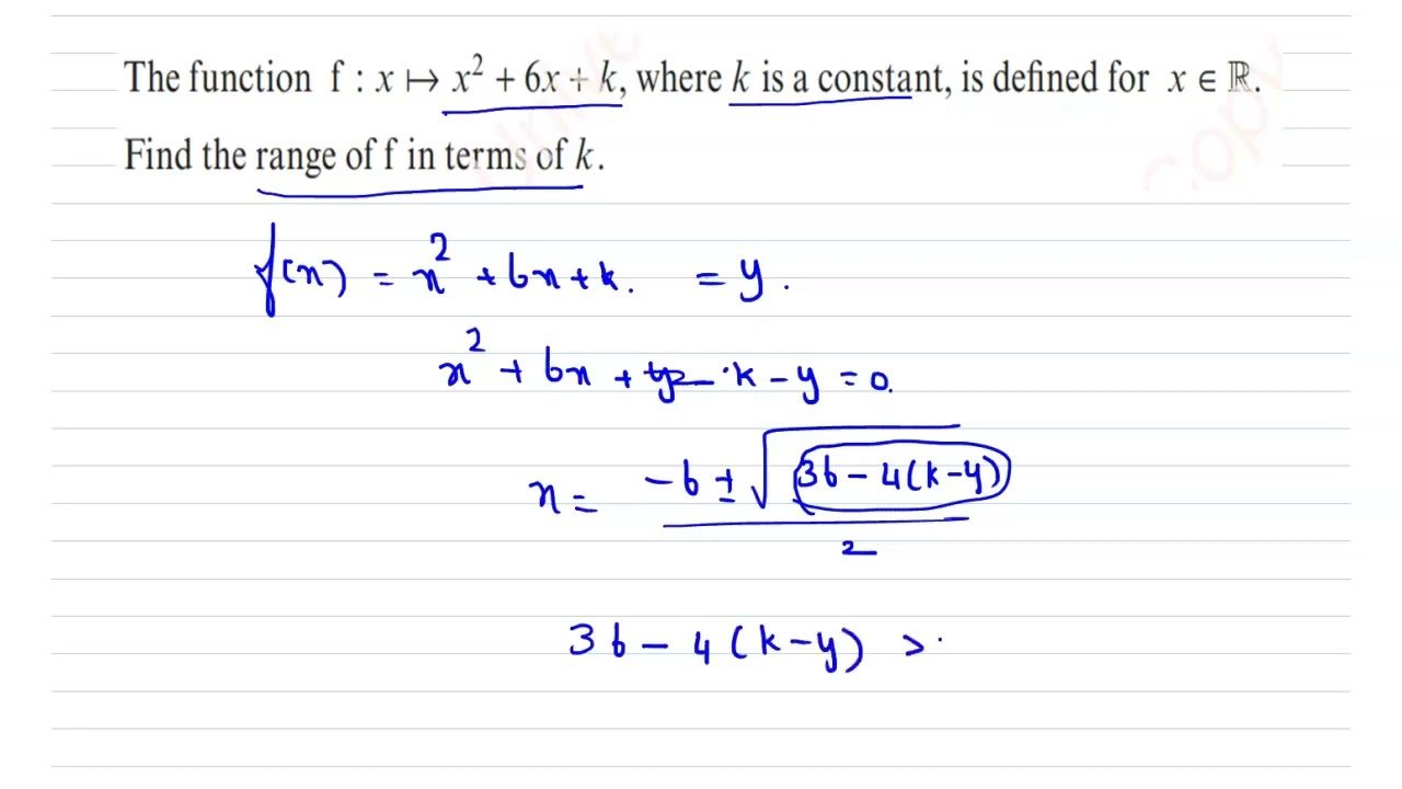
Cambridge As And A Level Chapter 2 Functions Exercise 2a11 The Function

Chapter 2 Functions Exercises 2 1 Pdf Function Mathematics Logic
Chapter 2 Functions Exercises 2 1 Pdf Function Mathematics Logic

Chapter 2 Functions Exercises 2 1 Pdf Function Mathematics Logic Kindly subscribe the channel @vriksham6110 cambridge as and a level chapter 2 functions exercise 2a (11) the function f (x) = x^2 6x k, where k is a constant, is defined. Solution of functions (chapter 2) as a level mathematics pure mathematics 1 free download as pdf file (.pdf), text file (.txt) or read online for free.

Chapter 2 Functions Part 2 Pdf
Chapter 2 Functions Part 2 Pdf

Chapter 2 Functions Part 2 Pdf Chapter 2. functions. 21. 22 chapter 2. functions. 13. 9709 m22 qp 12 q: 5. 23. 14. 9709 m22 qp 12 q: 9. 24 chapter 2. functions. 25. 15. 9709 m21 qp 12 q: 5. 26 chapter 2. functions. 16. 9709 m21 qp 12 q: 7. 27. 28 chapter 2. functions. 17. 9709 s21 qp 11 q: 9. 29. 30 chapter 2. functions. 18. 9709 s21 qp 12 q: 2. 31. 19. 9709 s21 qp 12 q: 5. The document is a workbook containing past paper questions for as & a level mathematics (9709) focusing on pure mathematics 1, specifically chapter 2 on functions. it includes a collection of questions from various exam sessions between may june 2015 and february march 2022. This document is a worked solutions manual for the as and a level mathematics: pure mathematics 2 & 3 textbooks. it provides step by step worked solutions for problems in the textbooks on topics such as algebra, functions, coordinate geometry, calculus, and trigonometry. Questions and model answers on functions for the cambridge (cie) a level maths: pure 1 syllabus, written by the maths experts at save my exams.

Solution Functions Worksheet For Cambridge Advanced Level Studypool
Solution Functions Worksheet For Cambridge Advanced Level Studypool

Solution Functions Worksheet For Cambridge Advanced Level Studypool This document is a worked solutions manual for the as and a level mathematics: pure mathematics 2 & 3 textbooks. it provides step by step worked solutions for problems in the textbooks on topics such as algebra, functions, coordinate geometry, calculus, and trigonometry. Questions and model answers on functions for the cambridge (cie) a level maths: pure 1 syllabus, written by the maths experts at save my exams. Worked solutions for each chapter of the book, including exam style papers. The document is a workbook containing past paper questions for as & a level mathematics (9709) focusing on pure mathematics 1. it includes questions from various examination sessions between may june 2015 and february march 2022. If y = kx 1 is a tangent to y = x2 − 7x 2 then there should only be one solution to the equation formed by solving y = kx 1 and y = x2 − 7x 2 simultaneously. This page has the solutions to the different exercises refresh and review sections of our textbooks. simply select the required chapter and scroll to find the solution you need.

Comments are closed.