Simplify your online presence. Elevate your brand.

Boq 2 Pdf Masonry Concrete

Boq 2 Pdf Masonry Concrete
Boq 2 Pdf Masonry Concrete

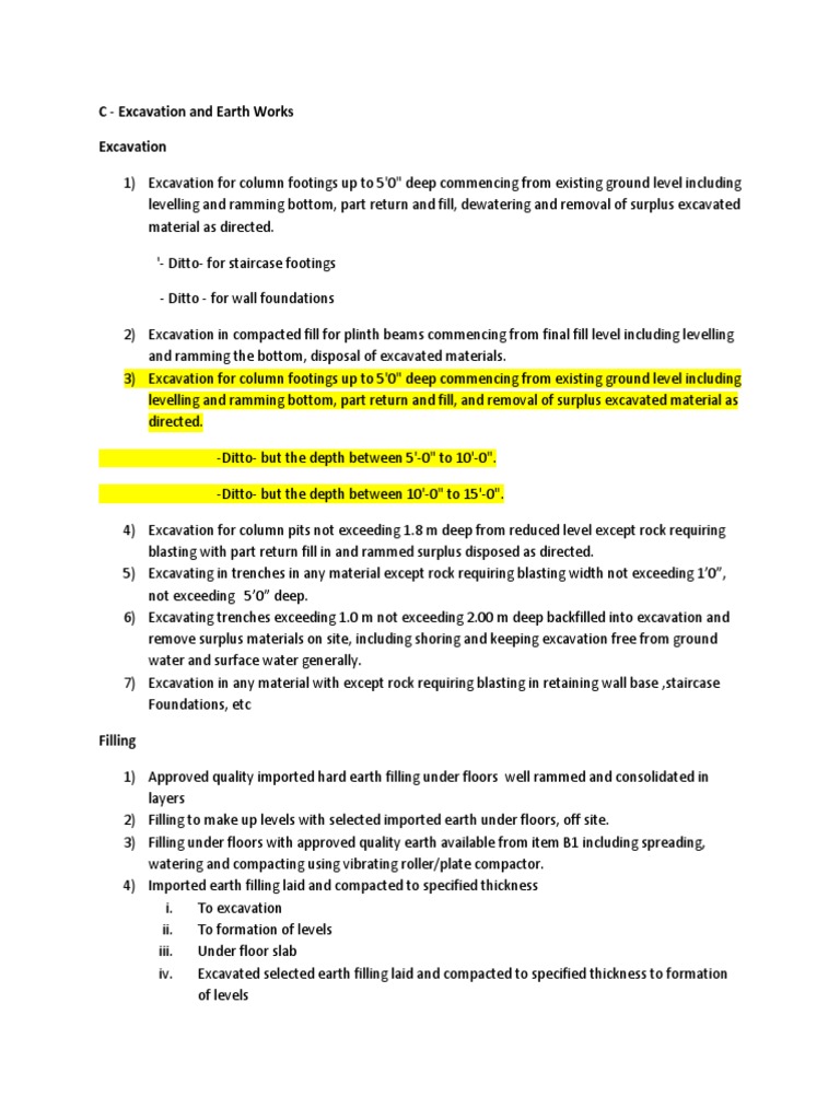
Boq 2 Pdf Masonry Concrete Boq sample free download as pdf file (.pdf), text file (.txt) or read online for free. this document provides a bill of quantities for construction work. 3. in total, there are over 30 line items covering excavation, concrete, reinforcement, masonry, plastering, waterproofing, and other finishes. the level of detail in specifications and quantities for each item allows for development of an accurate project budget.

Boq 3 Pdf Masonry Concrete
Boq 3 Pdf Masonry Concrete

Boq 3 Pdf Masonry Concrete This breakdown structure is often preferred by contractors for the purpose of pricing as all like products and components are grouped together (e.g. the reinforced concrete columns, beams, floors, roofs and staircases), whereas they can be spread among a number of different elements when an elemental breakdown structure is used. Reinforced concrete 30 mpa, using ordinary portland cement, including all necessary formwork, reinforcement, construction joints, additives, etc. in accordance with specifications and drawings. Filling available excavated earth (excluding rock) in trenches, plinth, sides of foundations etc. in layers not exceeding 20cm in depth, consolidating each deposited layer by ramming and watering, lead up to 50 m and lift upto 1.5 m. Iii concreting works (a) formworks and scaffoldings php 139,513. (b) structural concrete php 244,615. (c) reinforcing steel works php 571,376. iv masonry works php 443,891. v carpentry works php 258,274. vi roofing and steel works php 316,780. vii doors and windows php 189,522. viii finishes (a) painting works php 167,376.

Boq Descriptions Pdf Masonry Concrete
Boq Descriptions Pdf Masonry Concrete

Boq Descriptions Pdf Masonry Concrete Filling available excavated earth (excluding rock) in trenches, plinth, sides of foundations etc. in layers not exceeding 20cm in depth, consolidating each deposited layer by ramming and watering, lead up to 50 m and lift upto 1.5 m. Iii concreting works (a) formworks and scaffoldings php 139,513. (b) structural concrete php 244,615. (c) reinforcing steel works php 571,376. iv masonry works php 443,891. v carpentry works php 258,274. vi roofing and steel works php 316,780. vii doors and windows php 189,522. viii finishes (a) painting works php 167,376. A construction boq (bill of quantities) is a document that lists all measurable work items in a project along with their quantities, units, and rates. it is used for cost estimation, contractor comparison, and budgeting before construction begins. Boq 2 free download as pdf file (.pdf), text file (.txt) or read online for free. this document contains a bill of quantities for a retaining wall construction project. Nrm 2: detailed measurement for building works can be adopted as the rules of measurement for building works irrespective of what bq breakdown structure is chosen. Blockwork to be laid in grade i i i) mortar (l : i above ground and grade (iv) mortar (i a) where buried: contractor shall provide ce certificates for blockwork confirming the strength as shown on the drawings; block strength to be n to is 325 or eurocode equivalent: blockwork to be laid in m4 mortar; mortar cubes to be tested in accordance with is en 1015 11 and in accordance with the specifications: all as per engineers and architects instructions and specifications walls i oornm thick; 24n (outer leaf) 215rnm thick; 7.5n (to rear yard void, refer to detail g42, drawing no. 034, contractor to take note that a certain area is curved) 215mm thick; 24n (external walls) 215mm thick; 24n (internal walls) labours on blockwork extra for special bricks blocks allow for the formation of services voids thought both the 440mm and 215mm thick block work walls, include for concrete spanlite reinforced heads and the like to complete the task (provisional) 215rnm thick; quinn lite b3 or similar approved; illinimum conductivity of o. 12 w m.k (provisional) bonding to other work wall starters and connectors to basement; used by: wall construction; manufacturer: ancon building products; product reference: staifix cavity starter or as recommended by specialists to suit application; length: contractor's choice, to suit application; material: stainless steel grade i (304); fixing wall starters and connectors; contractor to allow for all necessary fixings and the like to complete the task; all in accordance with the engineers and architects instructions, guidance, drawings and specifications (provisional) bq 67.

Comments are closed.