Simplify your online presence. Elevate your brand.

Bop Pdf

Bop Download Free Pdf Current Account Balance Of Payments
Bop Download Free Pdf Current Account Balance Of Payments

Bop Download Free Pdf Current Account Balance Of Payments Dokumen tersebut membahas tentang pengertian, tujuan, dan penggolongan anggaran biaya overhead pabrik (bop). secara ringkas, bop adalah biaya produksi tidak langsung yang digunakan untuk merencanakan dan mengendalikan biaya, membuat keputusan, menilai kinerja, serta menetapkan harga jual. Biaya overhead pabrik (bop) bagi perusahaan. pembahasan dilanjutkan dengan mempelajari faktor faktor yang harus dipahami untuk melakukan penyusunan anggaran bop, teknik pengalokasian bop yang bersifat tidak langsung, dan pembahasa pentingnya pemahaman tent.

Bop Basics Pdf Balance Of Payments International Trade
Bop Basics Pdf Balance Of Payments International Trade

Bop Basics Pdf Balance Of Payments International Trade Penggolongan bop berdasarkan sifatnya. penggolongan bop menurut perilakunya dalam hubungannya dengan perubahan volume kegiatan. penggolongan bop dengan departemen. Satuan ini sangat diperlukan dalam penyusunan anggaran bop, karena pada dasarnya bop merupakan hasil perkalian antara satuan kegiatan dengan rupiah tertentu sbg tarif biaya overhead (overhead rate). Dokumen tersebut membahas tentang pengertian dan jenis jenis biaya overhead pabrik (bop). bop adalah biaya produksi total yang tidak dapat diidentifikasi secara langsung pada produk atau aktivitas tertentu. terdapat tiga jenis bop yaitu tetap, variabel, dan semi variabel. Because of the important relationship between external and domestic economic developments, timely, reliable, and comprehensive balance of payments statistics based on an appropriate and analytically oriented methodology are an indispensable tool for economic analysis and policy making.

Handout Topic 3 Bop Pdf Balance Of Payments Capital Account
Handout Topic 3 Bop Pdf Balance Of Payments Capital Account

Handout Topic 3 Bop Pdf Balance Of Payments Capital Account Dokumen tersebut membahas tentang pengertian dan jenis jenis biaya overhead pabrik (bop). bop adalah biaya produksi total yang tidak dapat diidentifikasi secara langsung pada produk atau aktivitas tertentu. terdapat tiga jenis bop yaitu tetap, variabel, dan semi variabel. Because of the important relationship between external and domestic economic developments, timely, reliable, and comprehensive balance of payments statistics based on an appropriate and analytically oriented methodology are an indispensable tool for economic analysis and policy making. Biaya overhead pabrik adalah biaya bahan, tenaga kerja, dan fasilitas produksi lainnya, selain biaya bahan baku dan biaya tenaga kerja langsung. contoh : biaya bahan pembantu, biaya tenaga kerja tidak langsung, biaya listrik pabrik, biaya sewa bangunan pabrik, penyusutan aktiva tetap pabrik, biaya reparasi dan pemeliharaan aktiva tetap pabrik. Bop langsung departemen bop yang terjadi dalam departemen tertentu dan manfaatnya hanya dinikmati oleh departemen tersebut. contoh: gaji mandor departemen produksi, biaya depresiasi mesin dan biaya bahan penolong. Dokumen tersebut membahas tentang alokasi anggaran biaya overhead pabrik (bop). Discuss the importance of bop for an economy; identify the state of disequilibrium in bop and explain the methods required for correcting disequilibrium in bop; state the exchange rate and its types; and describe the purchasing power parity theory of exchange rate determination.

Bop Pdf
Bop Pdf

Bop Pdf Biaya overhead pabrik adalah biaya bahan, tenaga kerja, dan fasilitas produksi lainnya, selain biaya bahan baku dan biaya tenaga kerja langsung. contoh : biaya bahan pembantu, biaya tenaga kerja tidak langsung, biaya listrik pabrik, biaya sewa bangunan pabrik, penyusutan aktiva tetap pabrik, biaya reparasi dan pemeliharaan aktiva tetap pabrik. Bop langsung departemen bop yang terjadi dalam departemen tertentu dan manfaatnya hanya dinikmati oleh departemen tersebut. contoh: gaji mandor departemen produksi, biaya depresiasi mesin dan biaya bahan penolong. Dokumen tersebut membahas tentang alokasi anggaran biaya overhead pabrik (bop). Discuss the importance of bop for an economy; identify the state of disequilibrium in bop and explain the methods required for correcting disequilibrium in bop; state the exchange rate and its types; and describe the purchasing power parity theory of exchange rate determination.

Structure Of Balance Of Payments Disequilibrium In Bop Pdf
Structure Of Balance Of Payments Disequilibrium In Bop Pdf

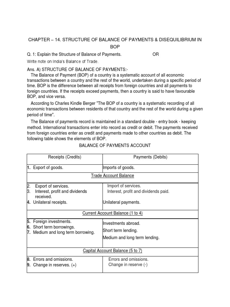
Structure Of Balance Of Payments Disequilibrium In Bop Pdf Dokumen tersebut membahas tentang alokasi anggaran biaya overhead pabrik (bop). Discuss the importance of bop for an economy; identify the state of disequilibrium in bop and explain the methods required for correcting disequilibrium in bop; state the exchange rate and its types; and describe the purchasing power parity theory of exchange rate determination.

Comments are closed.