Simplify your online presence. Elevate your brand.

Blending Process Laplace Transform Example

Laplace Transform Pdf Teaching Methods Materials
Laplace Transform Pdf Teaching Methods Materials

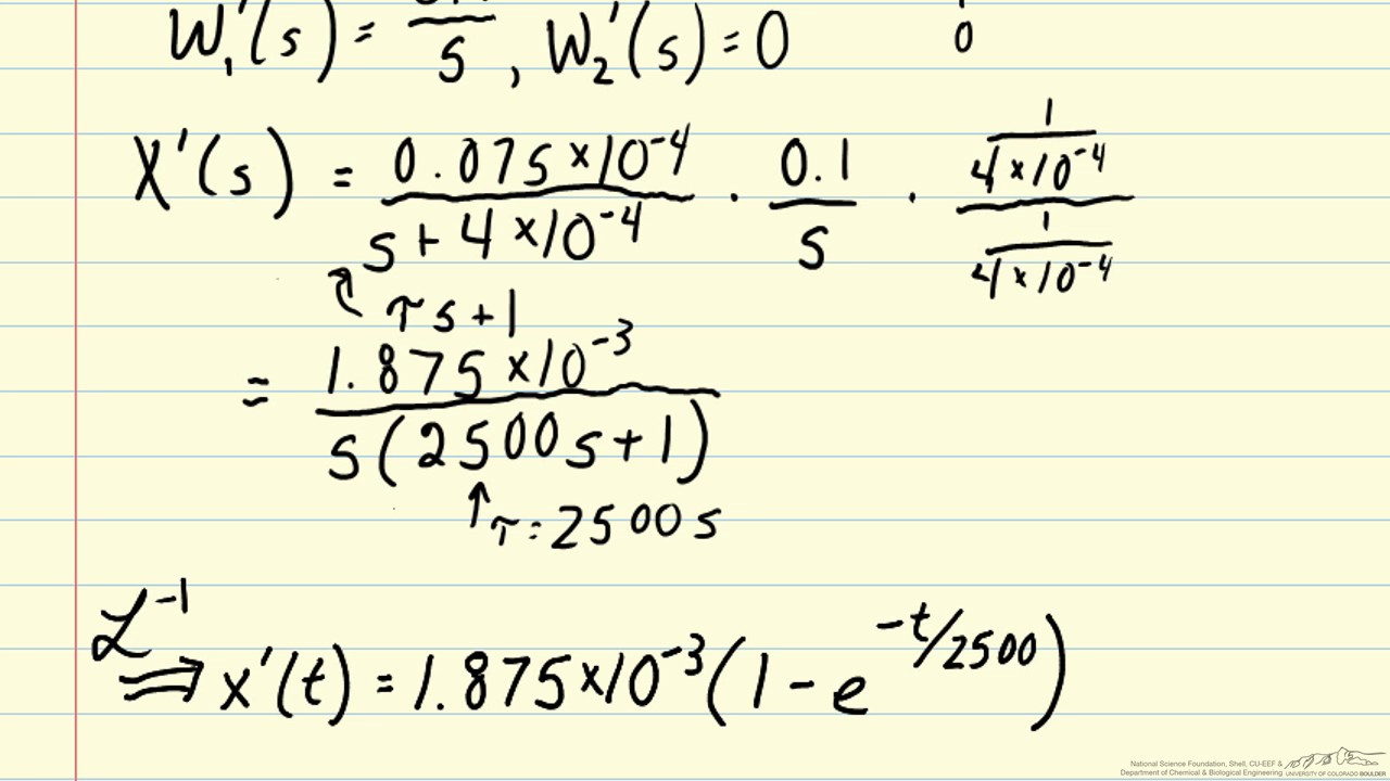
Laplace Transform Pdf Teaching Methods Materials Organized by textbook: learncheme demonstrates the laplace transfer method to the blending process. the time varying mass fraction in the tank is calculated, for the case when. Screencasts are organized by textbook on the right. this vl can be used as a laboratory or course project; it has a series of screencast instructions. watch screencasts that have built in quizzes to help you retain information. determine how system behavior changes when variables are changed. screencasts are organized by textbook on the right.

Inverse Laplace Transform Using First Shifting Theorem Pdf
Inverse Laplace Transform Using First Shifting Theorem Pdf

Inverse Laplace Transform Using First Shifting Theorem Pdf An lti plant can be modeled from physics using differential equation mathematics, then converted to a transfer function by laplace transform. this is where we start our discussion. Collapse the resulting laplacian pyramid to reveal the blended image. Basic idea: expand a complex expression for y(s) into simpler terms, each of which appears in the laplace transform table. then you can take the l 1 of both sides of the equation to obtain y(t). Unlock the power of laplace transform in process dynamics and control with this ultimate guide, covering its definition, properties, and applications in che 4320.

Laplace Transform Inverse Laplace Transform Mcq Pdf 49 Off
Laplace Transform Inverse Laplace Transform Mcq Pdf 49 Off

Laplace Transform Inverse Laplace Transform Mcq Pdf 49 Off Basic idea: expand a complex expression for y(s) into simpler terms, each of which appears in the laplace transform table. then you can take the l 1 of both sides of the equation to obtain y(t). Unlock the power of laplace transform in process dynamics and control with this ultimate guide, covering its definition, properties, and applications in che 4320. In this part, we focus on simpli cation of model equations, solution of the resulting linear odes, application of laplace transfor mation for solving odes and use software tools to simulate model response. We introduce the laplace transform. this is an important session which covers both the conceptual and beginning computational aspects of the topic. fortunately, we have lots of professor mattuck’s videos to complement the written exposition. Use the bilateral laplace transform to find the transfer function between the output position and the input force, then use the unilateral laplace transform to determine a function for the output position. Organized by textbook: learncheme presents the concept of the laplace transform, and demonstrates the method on the blending process.

Solution Laplace Transform Example Studypool
Solution Laplace Transform Example Studypool

Solution Laplace Transform Example Studypool In this part, we focus on simpli cation of model equations, solution of the resulting linear odes, application of laplace transfor mation for solving odes and use software tools to simulate model response. We introduce the laplace transform. this is an important session which covers both the conceptual and beginning computational aspects of the topic. fortunately, we have lots of professor mattuck’s videos to complement the written exposition. Use the bilateral laplace transform to find the transfer function between the output position and the input force, then use the unilateral laplace transform to determine a function for the output position. Organized by textbook: learncheme presents the concept of the laplace transform, and demonstrates the method on the blending process.

Solution Process Control Laplace Transform Review Studypool
Solution Process Control Laplace Transform Review Studypool

Solution Process Control Laplace Transform Review Studypool Use the bilateral laplace transform to find the transfer function between the output position and the input force, then use the unilateral laplace transform to determine a function for the output position. Organized by textbook: learncheme presents the concept of the laplace transform, and demonstrates the method on the blending process.

Solution Laplace Transform Solveed Example Studypool
Solution Laplace Transform Solveed Example Studypool

Solution Laplace Transform Solveed Example Studypool

Comments are closed.