Simplify your online presence. Elevate your brand.

Basic Retail Quiz Part 1

Retail Store Format Quiz Pdf Retail Supermarket
Retail Store Format Quiz Pdf Retail Supermarket

Retail Store Format Quiz Pdf Retail Supermarket Test your social studies knowledge with this 21 question quiz. ideal for practice, review, and assessment with instant feedback on wayground. Explore quizlet's library of 10 retail basics practice test practice questions made to help you get ready for test day. build custom practice tests, check your understanding, and find key focus areas so you can approach the exam with confidence.

Quiz Retail Reviewer Grp 12345 Pdf Retail Market Segmentation
Quiz Retail Reviewer Grp 12345 Pdf Retail Market Segmentation

Quiz Retail Reviewer Grp 12345 Pdf Retail Market Segmentation The questions cover topics such as the definition of a retailer, types of retail activities like holding inventory, and key retail management concepts like corporate social responsibility and developing a retail marketing strategy. the student answered all questions correctly. This retail sales associate assessment quiz is designed to test knowledge on various types of retail stores, customer interaction, store layout, and sales strategies. Take vskills online tests on retail basics to prepare for certifications of vskills. take test now and improve your chances to get certified!!. Easily share the quiz with students and get instant feedback. great for practice, review, and classroom assessments.

Retail Basic Questions Pdf
Retail Basic Questions Pdf

Retail Basic Questions Pdf Take vskills online tests on retail basics to prepare for certifications of vskills. take test now and improve your chances to get certified!!. Easily share the quiz with students and get instant feedback. great for practice, review, and classroom assessments. About press copyright contact us creators advertise developers terms privacy policy & safety how works test new features nfl sunday ticket © 2025 google llc. 1) the brand of the product is 2) description of the product 3) quantity received 4) the brand of the product 5) description of the product. Quiz your students on chapter 1 retail industry practice problems using our fun classroom quiz game quizalize and personalize your teaching. Uji pengetahuan fun anda dengan kuis 10 pertanyaan ini. cocok untuk latihan, ulasan, dan penilaian dengan umpan balik instan di wayground.

Basic Retail Knowledge Pdf
Basic Retail Knowledge Pdf

Basic Retail Knowledge Pdf About press copyright contact us creators advertise developers terms privacy policy & safety how works test new features nfl sunday ticket © 2025 google llc. 1) the brand of the product is 2) description of the product 3) quantity received 4) the brand of the product 5) description of the product. Quiz your students on chapter 1 retail industry practice problems using our fun classroom quiz game quizalize and personalize your teaching. Uji pengetahuan fun anda dengan kuis 10 pertanyaan ini. cocok untuk latihan, ulasan, dan penilaian dengan umpan balik instan di wayground.

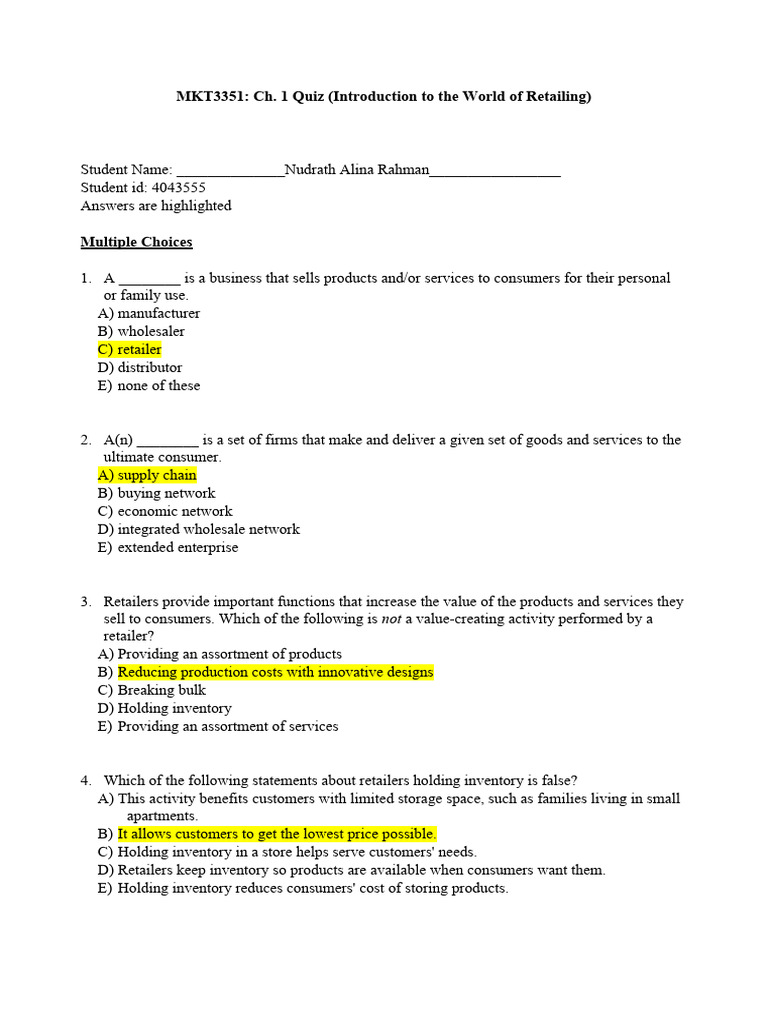
Quiz Ch1 Introduction Retailing Completed Pdf Retail Inventory
Quiz Ch1 Introduction Retailing Completed Pdf Retail Inventory

Quiz Ch1 Introduction Retailing Completed Pdf Retail Inventory Quiz your students on chapter 1 retail industry practice problems using our fun classroom quiz game quizalize and personalize your teaching. Uji pengetahuan fun anda dengan kuis 10 pertanyaan ini. cocok untuk latihan, ulasan, dan penilaian dengan umpan balik instan di wayground.

Comments are closed.