Simplify your online presence. Elevate your brand.

Barplot In Details Using Pythons Seaborn Library

Seaborn Barplot Python Tutorial
Seaborn Barplot Python Tutorial

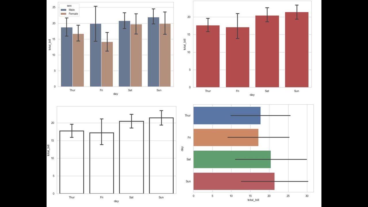
Seaborn Barplot Python Tutorial A bar plot represents an aggregate or statistical estimate for a numeric variable with the height of each rectangle and indicates the uncertainty around that estimate using an error bar. Seaborn is a python data visualization library based on matplotlib. it provides a high level interface for drawing attractive and informative statistical graphics.

Seaborn Barplot Python Tutorial
Seaborn Barplot Python Tutorial

Seaborn Barplot Python Tutorial Learn to create and customize seaborn barplots in python. master essential techniques for visualizing categorical data relationships, from basic plots to advanced features. Learn how to create effective bar plots with python seaborn's barplot () function. compare categorical data, customize visualizations, and understand statistical features. In this tutorial, we've gone over several ways to plot a bar plot using seaborn and python. we've started with simple plots, and horizontal plots, and then continued to customize them. In this tutorial, you'll learn how to use the python seaborn library to produce statistical data analysis plots to allow you to better visualize your data. you'll learn how to use both its traditional classic interface and more modern objects interface.

How To Make Barplots With Seaborn With Examples
How To Make Barplots With Seaborn With Examples

How To Make Barplots With Seaborn With Examples In this tutorial, we've gone over several ways to plot a bar plot using seaborn and python. we've started with simple plots, and horizontal plots, and then continued to customize them. In this tutorial, you'll learn how to use the python seaborn library to produce statistical data analysis plots to allow you to better visualize your data. you'll learn how to use both its traditional classic interface and more modern objects interface. Seaborn is one such statistical graphical plotting and visualization library in python that allows data analysts and data science professionals to render visualization. in this article, we will discuss how to create & handle bar plots through the powerful seaborn library. This section shows how to build a barplot with python, using libraries like matplotlib and seaborn. it start by explaining how to build a very basic barplot, and then provides tutorials for more customized versions. This article provides practical examples of how to use barplots in seaborn, enabling you to visualize distributions and comparisons in your data effectively. Let's learn on how to create a barplot in seaborn python library.

How To Make Barplots With Seaborn With Examples
How To Make Barplots With Seaborn With Examples

How To Make Barplots With Seaborn With Examples Seaborn is one such statistical graphical plotting and visualization library in python that allows data analysts and data science professionals to render visualization. in this article, we will discuss how to create & handle bar plots through the powerful seaborn library. This section shows how to build a barplot with python, using libraries like matplotlib and seaborn. it start by explaining how to build a very basic barplot, and then provides tutorials for more customized versions. This article provides practical examples of how to use barplots in seaborn, enabling you to visualize distributions and comparisons in your data effectively. Let's learn on how to create a barplot in seaborn python library.

How To Make Barplots With Seaborn With Examples
How To Make Barplots With Seaborn With Examples

How To Make Barplots With Seaborn With Examples This article provides practical examples of how to use barplots in seaborn, enabling you to visualize distributions and comparisons in your data effectively. Let's learn on how to create a barplot in seaborn python library.

Comments are closed.