Simplify your online presence. Elevate your brand.

Auditing Attestation And Assurance

Ch01 Auditing Attestation And Assurance Pdf Audit Financial
Ch01 Auditing Attestation And Assurance Pdf Audit Financial

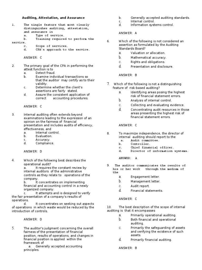
Ch01 Auditing Attestation And Assurance Pdf Audit Financial This document provides an overview of assurance and audit engagements, including: 1) it defines auditing, attestation, and assurance, noting that auditing is a type of attestation engagement and all attestation engagements are assurance services. What is audit assurance, and how does it differ from attestation or an audit? this guide will help you understand the nuances before your assurance engagement.

Auditing Attestation And Assurance Services Essay Example
Auditing Attestation And Assurance Services Essay Example

Auditing Attestation And Assurance Services Essay Example So, from above discussion we understood that attestation engagements are a sub set of many different forms of assurance engagement in which a practitioner issues a report to attest the assertions of against a set criteria. To help provide further clarity, we’ve developed this simple guide so you can understand the differences between attestation, assurance and auditing in the accounting, it and compliance business environments. In an audit, the auditor checks the evidence, verifies it, and expresses their opinion in a written audit report. in contrast, attestation is a broad concept that can be applied to anything besides financial data or internal controls. Auditor attestation isn't the same as an audit. learn what it means, the three levels of assurance it offers, and when businesses are legally required to get one.

Solution Auditing Attestation And Assurance Studypool
Solution Auditing Attestation And Assurance Studypool

Solution Auditing Attestation And Assurance Studypool In an audit, the auditor checks the evidence, verifies it, and expresses their opinion in a written audit report. in contrast, attestation is a broad concept that can be applied to anything besides financial data or internal controls. Auditor attestation isn't the same as an audit. learn what it means, the three levels of assurance it offers, and when businesses are legally required to get one. It covers the objectives of the cpa in the attest function, the scope of internal audits, the significance of operational audits, and essential characteristics of effective auditing, emphasizing due care and sound judgment. Where auditing involves gathering information and attestation involves comparing that information against a set of guidelines or systems, assurance simply looks at the validity of the data provided. Learning objectives lo 1 diferentiate among assurance, attestation, and audit services. lo 2 describe the diferent types of assurance services. lo 3 explain the demand for audit and assurance services. lo 4 discuss the diferent roles of the financial statement preparer and the auditor. This document explores the interrelationships among audit, attestation, and assurance services, providing definitions and examples for each.

Comments are closed.