Simplify your online presence. Elevate your brand.

Applications Of Integration Consumer Surplus

Integration Consumer S Surplus Example Solved Problems With Answer
Integration Consumer S Surplus Example Solved Problems With Answer

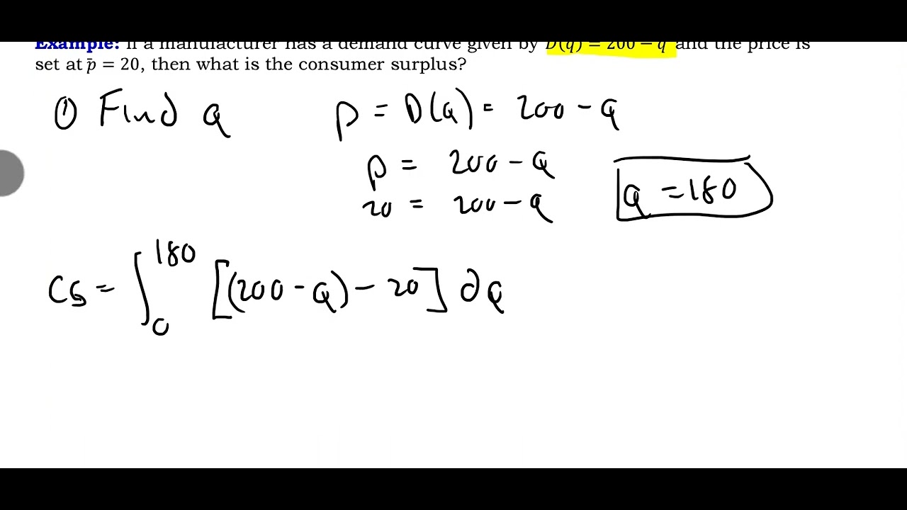
Integration Consumer S Surplus Example Solved Problems With Answer As we looked at consumers' surplus, we assumed that the sales were determined by supply and the price quantity point was on the supply curve. similarly, when looking at producers' surplus we assume price is set by demand and the price quantity point was on the demand curve. Find the quantity demanded at the given price. find the consumers’ surplus if the market price for the product is $4 per unit.

Integration Consumer S Surplus Example Solved Problems With Answer
Integration Consumer S Surplus Example Solved Problems With Answer

Integration Consumer S Surplus Example Solved Problems With Answer As long as the price stays on the demand function curve, a lower price means a greater quantity sold, and a greater consumer surplus. in a similar manner, we can focus on the producer side. the area under the supply function, from 0 to the quantity sold, measures the producers’ need for revenue. This paper explores the application of integral calculus to analyze consumer and producer surplus in free market economics. by examining the concepts of supply and demand, the authors quantify the economic benefits enjoyed by consumers and producers when trading at the equilibrium price. Integration is used to determine how much benefit consumers receive over and above the price they pay, calculated as the area under the demand curve and above market price. In this section we consider some applications of integration to economics (consumer surplus) and biology (blood flow, cardiac output). recall that the demand function p(x) is the price that a company has to charge in order to sell x units of a commodity.

Video Applications Of Integration To Find Consumer Surplus
Video Applications Of Integration To Find Consumer Surplus

Video Applications Of Integration To Find Consumer Surplus Integration is used to determine how much benefit consumers receive over and above the price they pay, calculated as the area under the demand curve and above market price. In this section we consider some applications of integration to economics (consumer surplus) and biology (blood flow, cardiac output). recall that the demand function p(x) is the price that a company has to charge in order to sell x units of a commodity. It discusses the use of integrals to derive total functions from marginal functions, calculate capital formation, and determine consumer and producer surplus. examples illustrate these concepts in practical economic scenarios. This section integrates calculus with economic analysis by using integration to determine consumer and producer surpluses. it introduces the concepts of demand and supply functions, explains how to locate the equilibrium point, and demonstrates how to compute surplus areas using definite integrals. The main topic of the text is the application of integral calculus in economic analysis. integrals are crucial for quantifying consumer and producer surplus, total cost and revenue functions, and for creating models that inform policy decisions. Supply and demand one of the most fundamental economic models is the law of supply and demand for a certain product (milk, bread, fuel etc.) or service (transportation, health care, education etc.) in a free m. rket environment. in this model the quantity of a certain item produced and sold is described by two curves, called the supply and demand c.

Ppt Class 9 Area Consumer Surplus Integration Powerpoint
Ppt Class 9 Area Consumer Surplus Integration Powerpoint

Ppt Class 9 Area Consumer Surplus Integration Powerpoint It discusses the use of integrals to derive total functions from marginal functions, calculate capital formation, and determine consumer and producer surplus. examples illustrate these concepts in practical economic scenarios. This section integrates calculus with economic analysis by using integration to determine consumer and producer surpluses. it introduces the concepts of demand and supply functions, explains how to locate the equilibrium point, and demonstrates how to compute surplus areas using definite integrals. The main topic of the text is the application of integral calculus in economic analysis. integrals are crucial for quantifying consumer and producer surplus, total cost and revenue functions, and for creating models that inform policy decisions. Supply and demand one of the most fundamental economic models is the law of supply and demand for a certain product (milk, bread, fuel etc.) or service (transportation, health care, education etc.) in a free m. rket environment. in this model the quantity of a certain item produced and sold is described by two curves, called the supply and demand c.

Ppt Class 9 Area Consumer Surplus Integration Powerpoint
Ppt Class 9 Area Consumer Surplus Integration Powerpoint

Ppt Class 9 Area Consumer Surplus Integration Powerpoint The main topic of the text is the application of integral calculus in economic analysis. integrals are crucial for quantifying consumer and producer surplus, total cost and revenue functions, and for creating models that inform policy decisions. Supply and demand one of the most fundamental economic models is the law of supply and demand for a certain product (milk, bread, fuel etc.) or service (transportation, health care, education etc.) in a free m. rket environment. in this model the quantity of a certain item produced and sold is described by two curves, called the supply and demand c.

Comments are closed.