Simplify your online presence. Elevate your brand.

7 Moment Curvature Example Yield Of Steel Exact

Idealised Moment Curvature With Nominal Yield Displacement Download
Idealised Moment Curvature With Nominal Yield Displacement Download

Idealised Moment Curvature With Nominal Yield Displacement Download This video looks into how to find the moment and curvature when the steel yields using material curves .more. The document describes the moment curvature analysis of reinforced concrete beams under different reinforcement conditions. it outlines the methodology used, which involves determining the cracking moment, moment at concrete compression yield, and inelastic behavior.

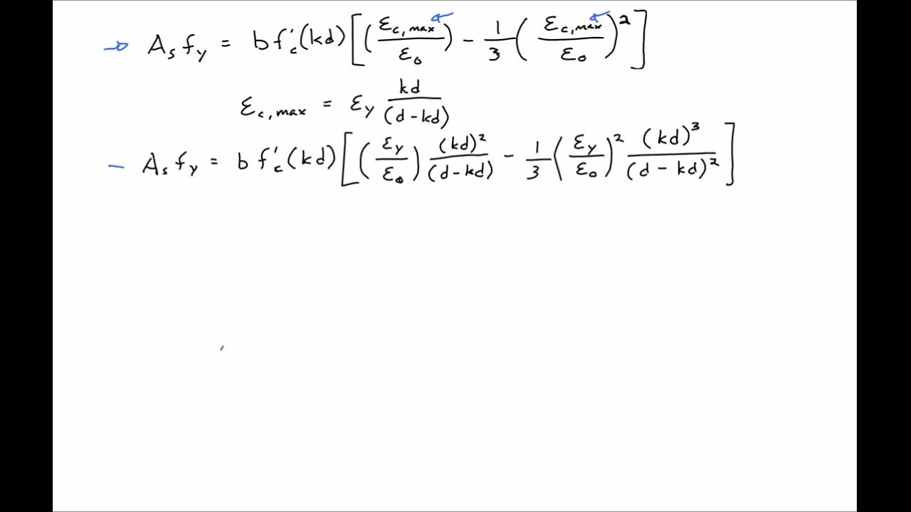
Plot The Moment Curvature Relationship For A Steel Chegg
Plot The Moment Curvature Relationship For A Steel Chegg

Plot The Moment Curvature Relationship For A Steel Chegg The following are the commands that generate the section and perform the moment curvature analysis. the model and analysis commands are contained in the momentcurvature procedure. In this paper, closed form equations for finding yield and ultimate moment and curvature for an rc section subjected to uniaxial bending moment and axial force are proposed. Moment curvature analysis is a method to accurately determine the load deformation behavior of a concrete section using nonlinear material stress strain relationships. Unlike simple elastic calculations that assume a constant stiffness, m–ϕ diagrams capture how the section’s stiffness degrades as cracking, yielding, and ultimate failure occur.

Idealised Moment Curvature With Nominal Yield Displacement Download
Idealised Moment Curvature With Nominal Yield Displacement Download

Idealised Moment Curvature With Nominal Yield Displacement Download Moment curvature analysis is a method to accurately determine the load deformation behavior of a concrete section using nonlinear material stress strain relationships. Unlike simple elastic calculations that assume a constant stiffness, m–ϕ diagrams capture how the section’s stiffness degrades as cracking, yielding, and ultimate failure occur. Calculate a relationship between moment and curvature which considers all levels of mo ment. this can be used when a more accurate estimate of deflection is desired or when loads larger than service loads are considered. The script main 08 does a moment curvature analysis on a concrete column. the complexity of the problem is due to the fact that the materials lose strength and stiffness as curvature increases which results in a non linear problem. In summary, when the plate bends “up”, the curvature is positive, and points “above” the mid surface experience negative normal strains and points “below” experience positive normal strains; there is zero shear strain. In the figure below, the yellow line is the computed moment curvature curve and the blue line is the idealized moment curvature curve. the idealized moment curvature curve passes through the initial yield, and it is drawn for the gray areas to be equal.

Moment Curvature Behaviour Of Different Types Of Steel Sections
Moment Curvature Behaviour Of Different Types Of Steel Sections

Moment Curvature Behaviour Of Different Types Of Steel Sections Calculate a relationship between moment and curvature which considers all levels of mo ment. this can be used when a more accurate estimate of deflection is desired or when loads larger than service loads are considered. The script main 08 does a moment curvature analysis on a concrete column. the complexity of the problem is due to the fact that the materials lose strength and stiffness as curvature increases which results in a non linear problem. In summary, when the plate bends “up”, the curvature is positive, and points “above” the mid surface experience negative normal strains and points “below” experience positive normal strains; there is zero shear strain. In the figure below, the yellow line is the computed moment curvature curve and the blue line is the idealized moment curvature curve. the idealized moment curvature curve passes through the initial yield, and it is drawn for the gray areas to be equal.

Comments are closed.