Simplify your online presence. Elevate your brand.

2pts Given A Initial Value Problem For Non Autonomous Ode

Lecture Notes 11 Initial Value Problem Ode Pdf Ordinary
Lecture Notes 11 Initial Value Problem Ode Pdf Ordinary

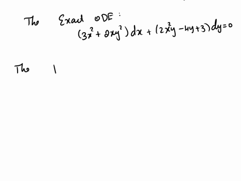
Lecture Notes 11 Initial Value Problem Ode Pdf Ordinary Given an initial value problem for a non autonomous ode, it is possible to create an equivalent initial value problem that involves an autonomous system of odes by introducing a new variable for the independent variable (time). Given an initial value problem for a non autonomous ode, du f (t,y), it is not possible to create an equivalent initial value problem that involves an autonomous system of ode's. [2pts.].

2pts Given A Initial Value Problem For Non Autonomous Ode
2pts Given A Initial Value Problem For Non Autonomous Ode

2pts Given A Initial Value Problem For Non Autonomous Ode The solution starts at i = 0 given by the initial condition, then i is increased to 1 where the values are calculated using the previous equations. this loop continues until the points cover the desired domain. An initial value problem will consists of two parts: the differential equation and the initial condition. the differential equation has a family of solutions, and the initial condition determines the value of c. Modeling a system in physics or other sciences frequently amounts to solving an initial value problem. in that context, the ivp is a differential equation which specifies how the system evolves with time plus the initial conditions of the problem. A function y(t) is a solution of ivp for the mth order ode above if y(t) satisfies the differential equation for t 2 [a; b] and all initial value conditions at t = a.

2pts Given A Initial Value Problem For Non Autonomous Ode
2pts Given A Initial Value Problem For Non Autonomous Ode

2pts Given A Initial Value Problem For Non Autonomous Ode Modeling a system in physics or other sciences frequently amounts to solving an initial value problem. in that context, the ivp is a differential equation which specifies how the system evolves with time plus the initial conditions of the problem. A function y(t) is a solution of ivp for the mth order ode above if y(t) satisfies the differential equation for t 2 [a; b] and all initial value conditions at t = a. The ability to reliably solve initial value problems for ordinary differential equations is essential in order to understand the evolution of dynamical systems. In this chapter we will use the forward and backward finite difference formulae to solve the initial value problem. the accuracy and stability of the techniques will be briefly discussed. Solving initial value problems: definition, applications, and examples. learn how to find solutions to differential equations with given initial conditions. The number of initial conditions needed to specify a unique solution depends on the order of the ode. in general, initial conditions need to be specified to create an ivp for an order ode with a unique solution.

Solved Problem 9 5 Separation Of Variables For A Chegg
Solved Problem 9 5 Separation Of Variables For A Chegg

Solved Problem 9 5 Separation Of Variables For A Chegg The ability to reliably solve initial value problems for ordinary differential equations is essential in order to understand the evolution of dynamical systems. In this chapter we will use the forward and backward finite difference formulae to solve the initial value problem. the accuracy and stability of the techniques will be briefly discussed. Solving initial value problems: definition, applications, and examples. learn how to find solutions to differential equations with given initial conditions. The number of initial conditions needed to specify a unique solution depends on the order of the ode. in general, initial conditions need to be specified to create an ivp for an order ode with a unique solution.

Comments are closed.