Simplify your online presence. Elevate your brand.

2425 Pka1 Qb1 Sm025

Pfa 2425 Ekselans By Its
Pfa 2425 Ekselans By Its

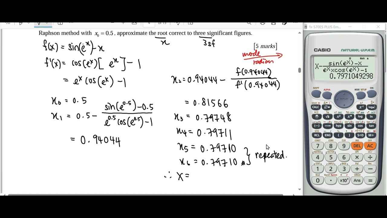
Pfa 2425 Ekselans By Its Given that the equation sin (e^x) x=0 has a root between x = 0 and x =1. by using the newton raphson method with x0=0.5, approximate the root correct to thre. Sm025 past year question papers & solutions sm015 past year question papers & solutions pspm 1 question papers 2003 2004 2022 2023 pspm 1 solution 2012 2013 2022 2023.

2425 Sm025 Bsj Week 11 Pdf
2425 Sm025 Bsj Week 11 Pdf

2425 Sm025 Bsj Week 11 Pdf To calculate $$p (x \ge y)$$p (x ≥ y), we need to find when $$x \ge 6 2x$$x ≥ 6−2x, which simplifies to $$3x \ge 6$$3x ≥ 6, or $$x \ge 2$$x ≥ 2. therefore, $$p (x \ge y) = p (x \ge 2) = p (x=2) = \frac {1} {5}$$p (x ≥ y) = p (x ≥ 2) = p (x = 2) = 51 . 😉 mahukan jawapan lebih tepat? dapatkan penyelesaian langkah demi langkah segera. Preview text sm025 mathematics 2 session 2021 answer scheme – pka set 1 no. section a. Diana, alya and salwa are sharing a single telephone line. if the phone rings, the probability that the call is for diana, alya and salwa is 0.1, 0.3 and 0.6 respectively. the probability of diana, alya and salwa staying at home when the phone rings is 0.7, 0.5 and 0.9 respectively. 2425 sm025 borang markah numeracy skills the document outlines a numeracy assessment rubric with criteria for analyzing problems, representing information, decision making, and method.

2425 Sm025 Cover Tugasan Individu Pdf
2425 Sm025 Cover Tugasan Individu Pdf

2425 Sm025 Cover Tugasan Individu Pdf Diana, alya and salwa are sharing a single telephone line. if the phone rings, the probability that the call is for diana, alya and salwa is 0.1, 0.3 and 0.6 respectively. the probability of diana, alya and salwa staying at home when the phone rings is 0.7, 0.5 and 0.9 respectively. 2425 sm025 borang markah numeracy skills the document outlines a numeracy assessment rubric with criteria for analyzing problems, representing information, decision making, and method. Water is drained at a rate proportional to the amount of water remaining in the tank modelled by dv dt= 0.25v,. Use table search to locate desired compound in database. unless otherwise stated, pka and pkb was measured at stp. for reference or additional information, please contact websupport@aatbio . "quest database ™ pka and pkb reference table." aat bioquest, inc., 12 apr. 2026, aatbio data sets pka and pkb reference table. Studying mathematics sm025 at kolej matrikulasi perak? on studocu you will find 49 practice materials, tutorial work, practical, lecture notes, mandatory. (a) find the general solution of the differential equation dy dx=3 e^x y. leave your answer in the form y=f (x). [4 marks].

Comments are closed.