Simplify your online presence. Elevate your brand.

1perjanjian Pinjam Pakai Tanah Pdf

Perjanjian Pinjam Pakai Tanah Pdf
Perjanjian Pinjam Pakai Tanah Pdf

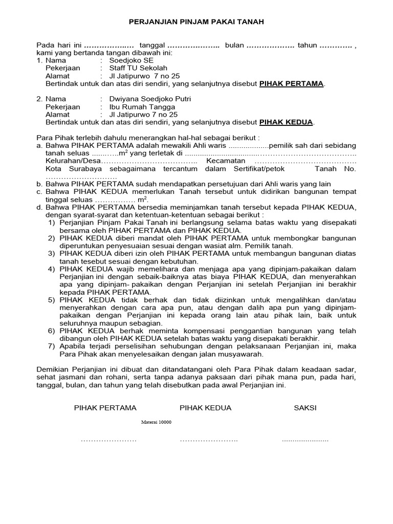
Perjanjian Pinjam Pakai Tanah Pdf Perjanjian ini mengatur pinjam pakai tanah seluas beberapa meter persegi yang dimiliki pihak pertama oleh pihak kedua untuk pembangunan dan pengelolaan suaka badak sumatera. Contoh format surat perjanjian pinjam pakai dan addendum nya salah satu surat perjanjian yang berkaitan dengan aset desa adalah surat perjanjian pinjam pakai beserta addendum nya.

Perjanjian Pinjam Pakai Tanah Pdf
Perjanjian Pinjam Pakai Tanah Pdf

Perjanjian Pinjam Pakai Tanah Pdf Mengenai perjanjian pinjam pakai lahan ini dan segala akibatnya, kedua belah pihak sepakat mengesampingkan dengan tegas ketentuan pasal 1266 dan 1267 kuh perdata, karena hubungan hukum antara pihak kesatu dengan pihak kedua bukan sewa menyewa. Dalam membuat surat perjanjian pinjam pakai tanah, perhatikanlah kesepakatan mengenai lokasi, waktu pinjam pakai, dan kondisi serta tanggung jawab pihak yang meminjam serta pihak yang meminjamkan tanah tersebut. Surat perjanjian pinjam pakai tanah free download as word doc (.doc .docx), pdf file (.pdf), text file (.txt) or read online for free. Pasal 7 karena perjanjian pinjam pakai ini dibuat dengan mengingat pribadi pihak kedua, maka pihak kedua tidak berhak dan tidak diizinkan untuk mengoperkan dan atau menyerahkan apa yang dipinjampakaikan dengan akta ini kepada orang pihak lain baik untuk seluruhnya maupun untuk sebagian.

Surat Perjanjian Pinjam Pakai Tanah Perumperindo Co Id
Surat Perjanjian Pinjam Pakai Tanah Perumperindo Co Id

Surat Perjanjian Pinjam Pakai Tanah Perumperindo Co Id 1. perjanjian ini mengatur pinjam pakai tanah seluas [ukuran tanah] milik pihak pertama oleh pihak kedua untuk ditanami rumput pak chong selama [jangka waktu]. 2. pihak kedua berkewajiban merawat dan menyerahkan kembali tanah pinjam pakai tersebut setelah perjanjian berakhir dan tidak diperbolehkan mengalihkan tanah ke pihak lain. 3. Demikian perjanjian ini dibuat dan ditandatangani oleh para pihak dalam keadaan sadar, sehat jasmani dan rohani, serta tanpa adanya paksaan dari pihak mana pun, pada hari, tanggal, bulan, dan tahun yang telah disebutkan pada awal perjanjian ini. Perjanjian pinjam pakai tanah free download as word doc (.doc), pdf file (.pdf), text file (.txt) or read online for free. Perjanjian ini mengatur pinjam pakai tanah selama beberapa tahun antara pemilik tanah dan pihak yang membutuhkan tanah untuk pembangunan rumah. pihak kedua berkewajiban merawat dan mengembalikan tanah setelah perjanjian berakhir serta tidak diperbolehkan melakukan perubahan tanpa izin pemilik tanah.

Contoh Surat Perjanjian Pinjam Pakai Tanah 48 Koleksi Gambar
Contoh Surat Perjanjian Pinjam Pakai Tanah 48 Koleksi Gambar

Contoh Surat Perjanjian Pinjam Pakai Tanah 48 Koleksi Gambar Perjanjian pinjam pakai tanah free download as word doc (.doc), pdf file (.pdf), text file (.txt) or read online for free. Perjanjian ini mengatur pinjam pakai tanah selama beberapa tahun antara pemilik tanah dan pihak yang membutuhkan tanah untuk pembangunan rumah. pihak kedua berkewajiban merawat dan mengembalikan tanah setelah perjanjian berakhir serta tidak diperbolehkan melakukan perubahan tanpa izin pemilik tanah.

Comments are closed.