Simplify your online presence. Elevate your brand.

Work Efficiency And Time Calculation Problems Pdf

Work Calculation Problem Pdf
Work Calculation Problem Pdf

Work Calculation Problem Pdf Time & work and pipe cistern 2 free download as pdf file (.pdf), text file (.txt) or read online for free. Time and work: work and efficiency concepts time and work – concepts, formulas & shortcuts a can do a work in x days and b cy efficiency ∝ 1 time.

1 Time And Work Pdf
1 Time And Work Pdf

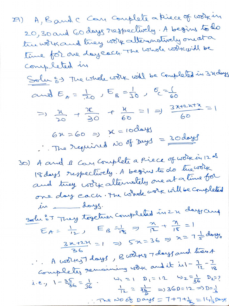
1 Time And Work Pdf Time and work questions with solutions pdf for free download. previous year ssc cgl, chsl, bank competitive exams quantitative aptitude solved mcqs with short trick and explanation for preparation of upcoming exams. The following diagram shows the general structure of how we can quickly analyze a question based on time and work. questions have been solved in the next pages to show how it is applied. Check out the comprehensive set of time and work questions and answers, with detailed solutions in pdf. it is the perfect resource for anyone who wants to improve their problem solving skills for competitive exams. Time and work pdf problems and solutions with clear explanation. learn time and work concepts, formula, and tricks to solve questions based on new pattern.

Work Efficiency Formula
Work Efficiency Formula

Work Efficiency Formula Check out the comprehensive set of time and work questions and answers, with detailed solutions in pdf. it is the perfect resource for anyone who wants to improve their problem solving skills for competitive exams. Time and work pdf problems and solutions with clear explanation. learn time and work concepts, formula, and tricks to solve questions based on new pattern. Our time and work questions with solutions pdf is specially designed to help aspirants strengthen their problem solving skills and improve calculation speed. 30. if a contractor is paid rs. 30,000 after completion of project e, how much profit he has earned after paying to his workers, i.e., 10 skilled, 8 semi skilled and 5 unskilled workers for one day and paying the middleman a commission of 10% of the total amount he has paid to the workers?. Learn work efficiency formulas, practice questions, and download pdf for csat preparation., complete guide to time and work problems for upsc. includes year wise solved questions, efficiency strategies, and downloadable pyq pdf. By practicing with these questions sets, you can learn how to efficiently solve time and work problems within the stipulated time frame while maintaining accuracy.

Time And Speed Work Problems 17 Pdf
Time And Speed Work Problems 17 Pdf

Time And Speed Work Problems 17 Pdf Our time and work questions with solutions pdf is specially designed to help aspirants strengthen their problem solving skills and improve calculation speed. 30. if a contractor is paid rs. 30,000 after completion of project e, how much profit he has earned after paying to his workers, i.e., 10 skilled, 8 semi skilled and 5 unskilled workers for one day and paying the middleman a commission of 10% of the total amount he has paid to the workers?. Learn work efficiency formulas, practice questions, and download pdf for csat preparation., complete guide to time and work problems for upsc. includes year wise solved questions, efficiency strategies, and downloadable pyq pdf. By practicing with these questions sets, you can learn how to efficiently solve time and work problems within the stipulated time frame while maintaining accuracy.

Comments are closed.