Simplify your online presence. Elevate your brand.

Trigonometric Equations

How To Solve Trigonometric Equations Basic And Function Based
How To Solve Trigonometric Equations Basic And Function Based

How To Solve Trigonometric Equations Basic And Function Based We look for known patterns, factor, find common denominators, and substitute certain expressions with a variable to make solving a more straightforward process. however, with trigonometric equations, we also have the advantage of using the identities we developed in the previous sections. Learn what trigonometric equations are, how to solve them using formulas and methods, and see examples of different types of trigonometric equations. find out the principal solutions and general solutions of trigonometric equations and their properties.

Trigonometric Equations Neliti
Trigonometric Equations Neliti

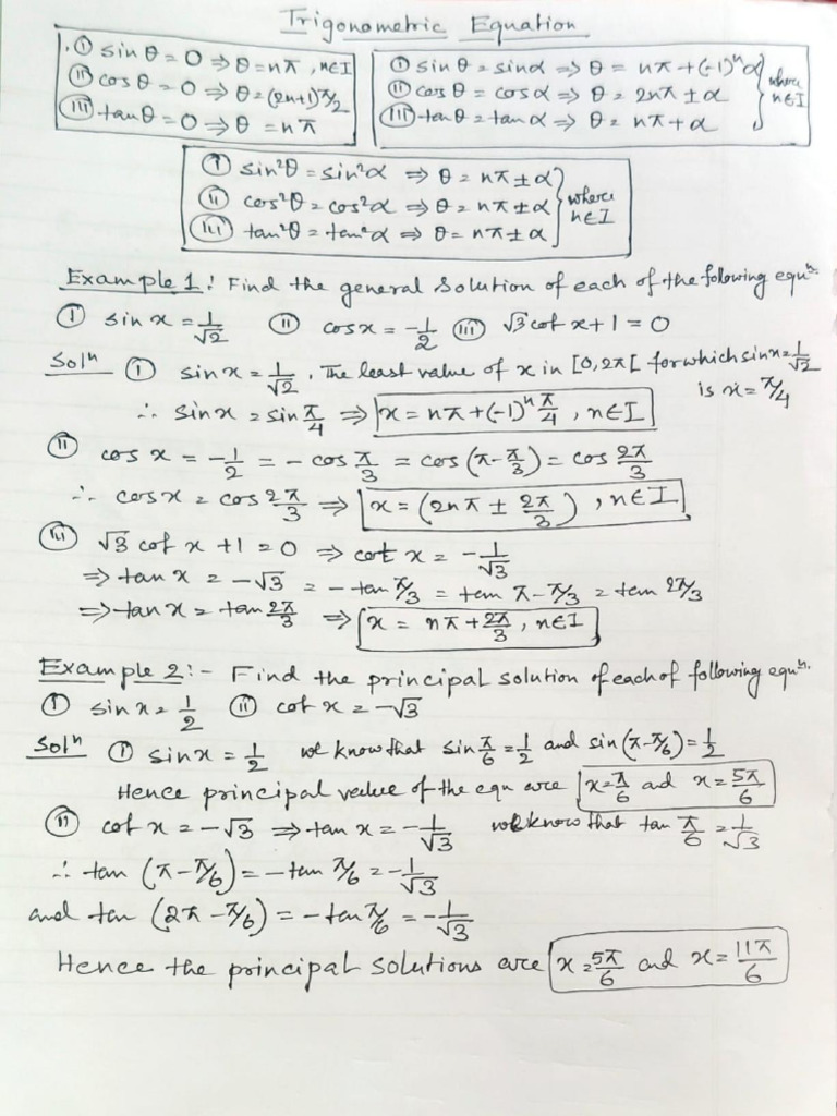
Trigonometric Equations Neliti Trigonometric equations are mathematical expressions that involve trigonometric functions (such as sine, cosine, tangent, etc.) and are set equal to a value. for example, a simple trigonometric equation might be: sin⁡ (x) = 0.5. Trigonometry formulas list with examples [pdf] – learn all key trigonometric formulas with step by step examples. download free pdf for class 10, 11, 12, and competitive exams preparation. Unlock the secrets of trigonometric equations, from basic identities to complex solutions with general solutions. master trigonometry with clarity and precision. But as the equations get harder, a variety of techniques come handy: the double and triple angle formulas, the sum to product formulas, etc. sometimes the equation is converted into a form where the r method can be used, or sometimes we have quadratic equations in the field.

Solve Trigonometric Equations Worksheet Printable Pdf Template
Solve Trigonometric Equations Worksheet Printable Pdf Template

Solve Trigonometric Equations Worksheet Printable Pdf Template Unlock the secrets of trigonometric equations, from basic identities to complex solutions with general solutions. master trigonometry with clarity and precision. But as the equations get harder, a variety of techniques come handy: the double and triple angle formulas, the sum to product formulas, etc. sometimes the equation is converted into a form where the r method can be used, or sometimes we have quadratic equations in the field. Learn how to solve trigonometric equations in higher maths involving multiple or compound angles and the wave function in degrees or radians. Basic and advanced trigonometric equations with problems, examples and solutions. Learn how to solve trigonometric equations, from basic forms like sin (x) = m to advanced equations with function arguments such as sin [f (x)]. Learn the basics of trigonometry, trigonometric ratios, identities, and formulas for solving trigonometric equations. find examples, standard angles, and conversion between degree and radian measures.

General Solution Of Trigonometric Equations Formula In Maths
General Solution Of Trigonometric Equations Formula In Maths

General Solution Of Trigonometric Equations Formula In Maths Learn how to solve trigonometric equations in higher maths involving multiple or compound angles and the wave function in degrees or radians. Basic and advanced trigonometric equations with problems, examples and solutions. Learn how to solve trigonometric equations, from basic forms like sin (x) = m to advanced equations with function arguments such as sin [f (x)]. Learn the basics of trigonometry, trigonometric ratios, identities, and formulas for solving trigonometric equations. find examples, standard angles, and conversion between degree and radian measures.

How To Solve Trigonometric Equations A Simple Tutorial
How To Solve Trigonometric Equations A Simple Tutorial

How To Solve Trigonometric Equations A Simple Tutorial Learn how to solve trigonometric equations, from basic forms like sin (x) = m to advanced equations with function arguments such as sin [f (x)]. Learn the basics of trigonometry, trigonometric ratios, identities, and formulas for solving trigonometric equations. find examples, standard angles, and conversion between degree and radian measures.

Trigonometric Equations Pdf
Trigonometric Equations Pdf

Trigonometric Equations Pdf

Comments are closed.