Simplify your online presence. Elevate your brand.

Suma Y Resta De Radicales Ejercicios Resueltos Pdf

Ejercicios De Sumas Restas Y Multiplicaciones De Radicales Pdf
Ejercicios De Sumas Restas Y Multiplicaciones De Radicales Pdf

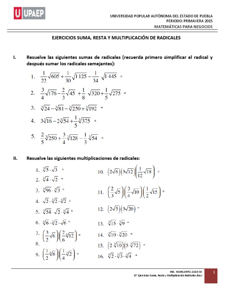
Ejercicios De Sumas Restas Y Multiplicaciones De Radicales Pdf A menudo, los estudiantes se enfrentan a la dificultad de entender cómo realizar estas operaciones de manera eficiente. para facilitar ese aprendizaje, hemos preparado una colección de suma y resta de radicales ejercicios resueltos pdf que ofrece ejemplos detallados y soluciones paso a paso. Dominar la suma y resta de radicales es importante. vamos a ver las reglas esenciales, ejemplos y ejercicios para practicar, usando un lenguaje claro y accesible.

Suma Y Resta De Radicales Pdf
Suma Y Resta De Radicales Pdf

Suma Y Resta De Radicales Pdf El documento presenta ejercicios resueltos sobre la suma y resta de radicales, explicando que solo se pueden sumar radicales semejantes. se incluyen ejemplos prácticos para estudiantes de 3º y 4º de eso, con soluciones detalladas. Domine la suma y resta de radicales con la colección completa de hojas de trabajo gratuitas de wayground, que incluye problemas de práctica paso a paso, archivos pdf imprimibles y claves de respuestas detalladas para fortalecer las habilidades de resolución de problemas algebraicos. Aquí te enseñamos cómo realizar la suma y resta de radicales iguales o distintos con ejercicios resueltos. ¡entra ahora para aprender!. Estos ejercicios resueltos de introducir y extraer factores de una raíz están tomados de los libros de la serie savia y savia nueva generación de la editorial sm, así como ejercicios de cosecha propia.

Suma Y Resta De Radicales Pdf
Suma Y Resta De Radicales Pdf

Suma Y Resta De Radicales Pdf Aquí te enseñamos cómo realizar la suma y resta de radicales iguales o distintos con ejercicios resueltos. ¡entra ahora para aprender!. Estos ejercicios resueltos de introducir y extraer factores de una raíz están tomados de los libros de la serie savia y savia nueva generación de la editorial sm, así como ejercicios de cosecha propia. Suma y resta de radicales para poder sumar o restar radicales, estos deben ser semejantes, quiere decir compartir el mismo índice y resta de números con signo. Para sumar o restar radicales se simplifica cada radical hasta donde sea posible y luego, se reducen los radicales semejantes y a continuación se escriben los radicales no semejantes con su propio signo. En esta lectura analizaste la suma y resta algebraica y algunas operaciones que implican la multiplicación con la suma y resta, las cuales utilizarás en la racionalización. Los factores dentro del radical debes descomponerlos en factores con exponentes que sean múltiplos del índice del radical. de esa manera podrás extraerlos del radical. dentro del radical no deben quedar factores con exponente mayor que el índice del radical.

Comments are closed.