Simplify your online presence. Elevate your brand.

Structural Mechanics Ii Tutorial Sheet 2 Pdf

Structural Mechanics Pdf Pdf Bending Beam Structure
Structural Mechanics Pdf Pdf Bending Beam Structure

Structural Mechanics Pdf Pdf Bending Beam Structure Ts02.pdf free download as pdf file (.pdf), text file (.txt) or read online for free. Bring handout #2 to every class exam. west, h.h. & geschwindner, l.f., fundamentals of structural analysis (2nd ed.), wiley, 2007. no office hour as per students' request.

Structural Mechanics 2nd Edition Pdf Stress Mechanics Bending
Structural Mechanics 2nd Edition Pdf Stress Mechanics Bending

Structural Mechanics 2nd Edition Pdf Stress Mechanics Bending Solutions for each of the structures shown below, perform the following steps, marking key values on all diagrams: a) calculate the support reactions; b) draw the shear force diagram: c) draw the bending moment diagram, and d) where appropriate, draw the axial force diagram. Ts021.pdf free download as pdf file (.pdf), text file (.txt) or read online for free. the document provides tutorial problems for a structural mechanics course. Notice: course text: leet et al., fundamentals of structural analysis, 3rd ed. (indian), mcgraw hill. download the introductory handout. first lecture begins on monday, 29th july 2019. Mit opencourseware is a web based publication of virtually all mit course content. ocw is open and available to the world and is a permanent mit activity.

Tutorial Sheet 2 3 Pdf
Tutorial Sheet 2 3 Pdf

Tutorial Sheet 2 3 Pdf Notice: course text: leet et al., fundamentals of structural analysis, 3rd ed. (indian), mcgraw hill. download the introductory handout. first lecture begins on monday, 29th july 2019. Mit opencourseware is a web based publication of virtually all mit course content. ocw is open and available to the world and is a permanent mit activity. The second is to determine the influence line equations that apply to the structure, thereby solving for all points along the influence line in terms of x, where x is the number of feet from the start of the structure to the point where the unit load is applied. The consideration of gaussian curvature introduces important simplifications in formulation and applications of the energy method in structural mechanics. a separate lecture will be devoted to this topic. Topic 2 shear force and bending moment introduction ‐ types of beams ‐ effects of loading on beams ‐ the force that cause shearing is known as shear force ‐ the force that results in bending is known as bending moment ‐ draw the shear force and bending moment diagrams heir beams. We have a structure and it is possible to analyze it with equilibrium conditions and additional equations. in this first stage we will analyze indeterminate structures namely structures with w < 0 . when we have, indeterminate structures we need additional equations for find the unknown reactions.

4 Mechanics Ii Booklet Pdf
4 Mechanics Ii Booklet Pdf

4 Mechanics Ii Booklet Pdf The second is to determine the influence line equations that apply to the structure, thereby solving for all points along the influence line in terms of x, where x is the number of feet from the start of the structure to the point where the unit load is applied. The consideration of gaussian curvature introduces important simplifications in formulation and applications of the energy method in structural mechanics. a separate lecture will be devoted to this topic. Topic 2 shear force and bending moment introduction ‐ types of beams ‐ effects of loading on beams ‐ the force that cause shearing is known as shear force ‐ the force that results in bending is known as bending moment ‐ draw the shear force and bending moment diagrams heir beams. We have a structure and it is possible to analyze it with equilibrium conditions and additional equations. in this first stage we will analyze indeterminate structures namely structures with w < 0 . when we have, indeterminate structures we need additional equations for find the unknown reactions.

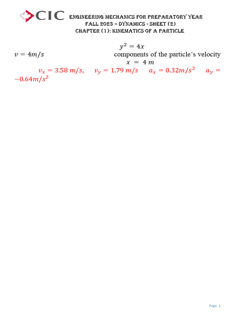
Sheet 2 Pdf Kinematics Classical Mechanics
Sheet 2 Pdf Kinematics Classical Mechanics

Sheet 2 Pdf Kinematics Classical Mechanics Topic 2 shear force and bending moment introduction ‐ types of beams ‐ effects of loading on beams ‐ the force that cause shearing is known as shear force ‐ the force that results in bending is known as bending moment ‐ draw the shear force and bending moment diagrams heir beams. We have a structure and it is possible to analyze it with equilibrium conditions and additional equations. in this first stage we will analyze indeterminate structures namely structures with w < 0 . when we have, indeterminate structures we need additional equations for find the unknown reactions.

Comments are closed.