Simplify your online presence. Elevate your brand.

Solved Question Simplify The Boolean Expression Ab A Ab B Ab

Solved 2 Points The Simplification Of The Following Boolean Chegg
Solved 2 Points The Simplification Of The Following Boolean Chegg

Solved 2 Points The Simplification Of The Following Boolean Chegg Enter any boolean expression like "abc a'bc ab'c" and get the simplified form instantly. our calculator applies all standard boolean algebra rules automatically. The calculator will try to simplify minify the given boolean expression, with steps when possible. applies commutative law, distributive law, dominant (null, annulment) law, identity law, negation law, double negation (involution) law, idempotent law, complement law, absorption law, redundancy law, de morgan's theorem.

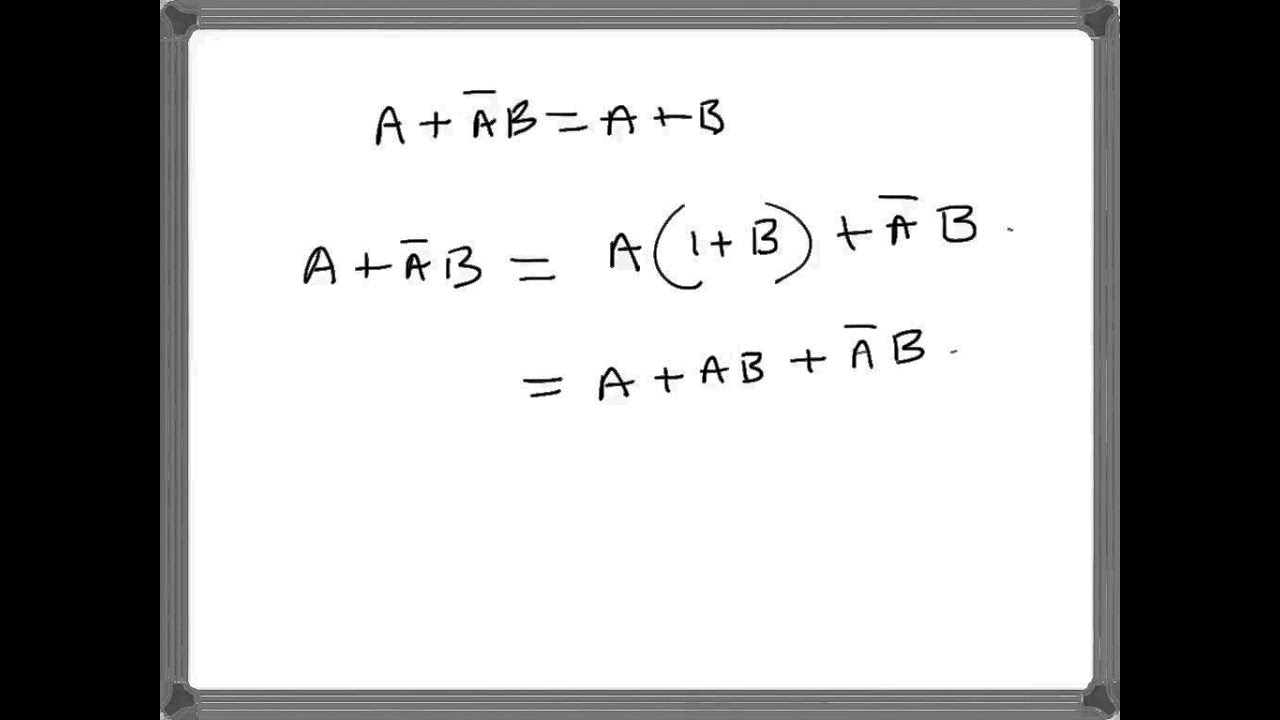
Solved 4 Simplify The Boolean Expression A B A A B Chegg
Solved 4 Simplify The Boolean Expression A B A A B Chegg

Solved 4 Simplify The Boolean Expression A B A A B Chegg Solve practice questions using an online terminal. boolean algebra expression simplifier & solver. detailed steps, logic circuits, kmap, truth table, & quizes. all in one boolean expression calculator. online tool. learn boolean algebra. The karnaugh map (kmap), introduced by maurice karnaughin in 1953, is a grid like representation of a truth table which is used to simplify boolean algebra expressions. Get comprehensive boolean algebra questions with detailed solutions. learn step by step techniques for simplifying boolean expressions and logic gate problems. By now you should have a basic idea of how to simplify boolean algebra terms using some basic boolean algebra laws to reduce an algebraic expression to its simplest form.

Solved Simplify These Boolean Expressions 1 Ab Ab 2 Chegg
Solved Simplify These Boolean Expressions 1 Ab Ab 2 Chegg

Solved Simplify These Boolean Expressions 1 Ab Ab 2 Chegg Get comprehensive boolean algebra questions with detailed solutions. learn step by step techniques for simplifying boolean expressions and logic gate problems. By now you should have a basic idea of how to simplify boolean algebra terms using some basic boolean algebra laws to reduce an algebraic expression to its simplest form. Boolean algebra questions with solutions free download as pdf file (.pdf), text file (.txt) or read online for free. the document discusses boolean algebra concepts including: a boolean expression is made up of boolean constants, variables, and logical connectives and results in a boolean value. Boolean algebra simplifier simplify boolean expressions using algebraic laws, quine mccluskey, and karnaugh map minimization. enter any logic expression (and, or, not, xor, nand, nor) and instantly get the minimal sop pos form, full truth table, k map visualization, gate diagram, step by step law applications, and nand nor only equivalents. Free boolean algebra simplifier and k map solver with examples, absorption law, and solutions. Here are some examples of boolean algebra simplifications. each line gives a form of the expression, and the rule or rules used to derive it from the previous one.

Solved Using Boolean Algebra Simplify The Expression Z Ab Chegg
Solved Using Boolean Algebra Simplify The Expression Z Ab Chegg

Solved Using Boolean Algebra Simplify The Expression Z Ab Chegg Boolean algebra questions with solutions free download as pdf file (.pdf), text file (.txt) or read online for free. the document discusses boolean algebra concepts including: a boolean expression is made up of boolean constants, variables, and logical connectives and results in a boolean value. Boolean algebra simplifier simplify boolean expressions using algebraic laws, quine mccluskey, and karnaugh map minimization. enter any logic expression (and, or, not, xor, nand, nor) and instantly get the minimal sop pos form, full truth table, k map visualization, gate diagram, step by step law applications, and nand nor only equivalents. Free boolean algebra simplifier and k map solver with examples, absorption law, and solutions. Here are some examples of boolean algebra simplifications. each line gives a form of the expression, and the rule or rules used to derive it from the previous one.

Comments are closed.