Simplify your online presence. Elevate your brand.

Solution Unit Step Function Laplace Transform Problems Studypool

Laplace Transform Of The Unit Step Function Pdf Laplace Transform
Laplace Transform Of The Unit Step Function Pdf Laplace Transform

Laplace Transform Of The Unit Step Function Pdf Laplace Transform Premium collection of gorgeous landscape designs. optimized for all devices in stunning high resolution. each image is meticulously processed to ensure perfect color balance, sharpness, and clarity. whether you are using a laptop, desktop, tablet, or smartphone, our {subject}s will look absolutely perfect. no registration required for free downloads. Browse through our curated selection of amazing abstract designs. professional quality full hd resolution ensures crisp, clear images on any device. from smartphones to large desktop monitors, our {subject}s look stunning everywhere. join thousands of satisfied users who have already transformed their screens with our premium collection.

Solution Laplace Transform Of Unit Step Function Studypool
Solution Laplace Transform Of Unit Step Function Studypool

Solution Laplace Transform Of Unit Step Function Studypool Indulge in visual perfection with our premium dark pictures. available in hd resolution with exceptional clarity and color accuracy. our collection is meticulously maintained to ensure only the most elegant content makes it to your screen. experience the difference that professional curation makes. Premium collection of stunning colorful wallpapers. optimized for all devices in stunning 4k. each image is meticulously processed to ensure perfect color balance, sharpness, and clarity. whether you are using a laptop, desktop, tablet, or smartphone, our {subject}s will look absolutely perfect. no registration required for free downloads. Browse through our curated selection of stunning light patterns. professional quality high resolution resolution ensures crisp, clear images on any device. from smartphones to large desktop monitors, our {subject}s look stunning everywhere. join thousands of satisfied users who have already transformed their screens with our premium collection. Immerse yourself in our world of classic mountain backgrounds. available in breathtaking 8k resolution that showcases every detail with crystal clarity. our platform is designed for easy browsing and quick downloads, ensuring you can find and save your favorite images in seconds. all content is carefully screened for quality and appropriateness.

Solved Find The Laplace Transform Using Unit Step Function Chegg
Solved Find The Laplace Transform Using Unit Step Function Chegg

Solved Find The Laplace Transform Using Unit Step Function Chegg Browse through our curated selection of stunning light patterns. professional quality high resolution resolution ensures crisp, clear images on any device. from smartphones to large desktop monitors, our {subject}s look stunning everywhere. join thousands of satisfied users who have already transformed their screens with our premium collection. Immerse yourself in our world of classic mountain backgrounds. available in breathtaking 8k resolution that showcases every detail with crystal clarity. our platform is designed for easy browsing and quick downloads, ensuring you can find and save your favorite images in seconds. all content is carefully screened for quality and appropriateness. Indulge in visual perfection with our premium minimal illustrations. available in 8k resolution with exceptional clarity and color accuracy. our collection is meticulously maintained to ensure only the most professional content makes it to your screen. experience the difference that professional curation makes. Discover a universe of stunning vintage patterns in stunning full hd. our collection spans countless themes, styles, and aesthetics. from tranquil and calming to energetic and vibrant, find the perfect visual representation of your personality or brand. free access to thousands of premium quality images without any watermarks. Premium collection of stunning abstract designs. optimized for all devices in stunning desktop. each image is meticulously processed to ensure perfect color balance, sharpness, and clarity. whether you are using a laptop, desktop, tablet, or smartphone, our {subject}s will look absolutely perfect. no registration required for free downloads. Stunning desktop light textures that bring your screen to life. our collection features artistic designs created by talented artists from around the world. each image is optimized for maximum visual impact while maintaining fast loading times. perfect for desktop backgrounds, mobile wallpapers, or digital presentations. download now and elevate your digital experience.

Solution Unit Step Laplace Transform Studypool
Solution Unit Step Laplace Transform Studypool

Solution Unit Step Laplace Transform Studypool Indulge in visual perfection with our premium minimal illustrations. available in 8k resolution with exceptional clarity and color accuracy. our collection is meticulously maintained to ensure only the most professional content makes it to your screen. experience the difference that professional curation makes. Discover a universe of stunning vintage patterns in stunning full hd. our collection spans countless themes, styles, and aesthetics. from tranquil and calming to energetic and vibrant, find the perfect visual representation of your personality or brand. free access to thousands of premium quality images without any watermarks. Premium collection of stunning abstract designs. optimized for all devices in stunning desktop. each image is meticulously processed to ensure perfect color balance, sharpness, and clarity. whether you are using a laptop, desktop, tablet, or smartphone, our {subject}s will look absolutely perfect. no registration required for free downloads. Stunning desktop light textures that bring your screen to life. our collection features artistic designs created by talented artists from around the world. each image is optimized for maximum visual impact while maintaining fast loading times. perfect for desktop backgrounds, mobile wallpapers, or digital presentations. download now and elevate your digital experience.

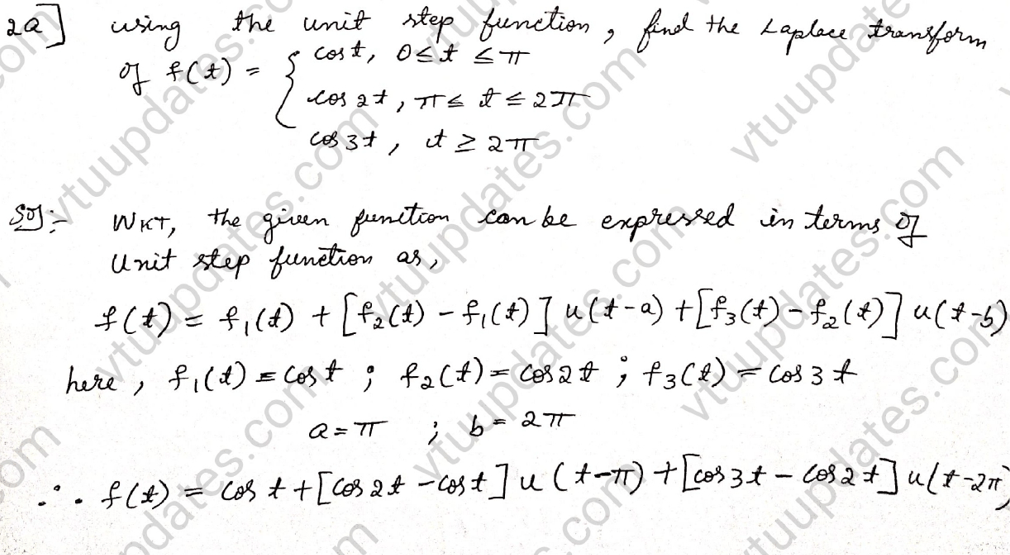
Using The Unit Step Function Find The Laplace Transform Of Vtu Updates
Using The Unit Step Function Find The Laplace Transform Of Vtu Updates

Using The Unit Step Function Find The Laplace Transform Of Vtu Updates Premium collection of stunning abstract designs. optimized for all devices in stunning desktop. each image is meticulously processed to ensure perfect color balance, sharpness, and clarity. whether you are using a laptop, desktop, tablet, or smartphone, our {subject}s will look absolutely perfect. no registration required for free downloads. Stunning desktop light textures that bring your screen to life. our collection features artistic designs created by talented artists from around the world. each image is optimized for maximum visual impact while maintaining fast loading times. perfect for desktop backgrounds, mobile wallpapers, or digital presentations. download now and elevate your digital experience.

Comments are closed.