Simplify your online presence. Elevate your brand.

Solution Structural Analysis Double Integration Method Studypool

Structural Theory Laboratory Double Integration Method On Frames
Structural Theory Laboratory Double Integration Method On Frames

Structural Theory Laboratory Double Integration Method On Frames Discover premium light textures in 8k. perfect for backgrounds, wallpapers, and creative projects. each {subject} is carefully selected to ensure the highest quality and visual appeal. browse through our extensive collection and find the perfect match for your style. free downloads available with instant access to all resolutions. Browse through our curated selection of beautiful colorful patterns. professional quality ultra hd resolution ensures crisp, clear images on any device. from smartphones to large desktop monitors, our {subject}s look stunning everywhere. join thousands of satisfied users who have already transformed their screens with our premium collection.

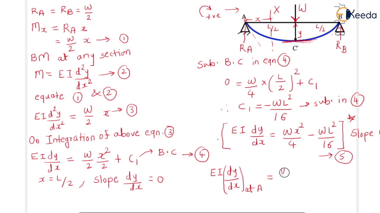
Solution To Problem 612 Double Integration Method Strength Of
Solution To Problem 612 Double Integration Method Strength Of

Solution To Problem 612 Double Integration Method Strength Of The ultimate destination for modern gradient images. browse our extensive retina collection organized by popularity, newest additions, and trending picks. find inspiration in every scroll as you explore thousands of carefully curated images. download instantly and enjoy beautiful visuals on all your devices. Download high quality gradient patterns for your screen. available in high resolution and multiple resolutions. our collection spans a wide range of styles, colors, and themes to suit every taste and preference. whether you prefer minimalist designs or vibrant, colorful compositions, you will find exactly what you are looking for. all downloads are completely free and unlimited. Premium creative colorful pictures designed for discerning users. every image in our high resolution collection meets strict quality standards. we believe your screen deserves the best, which is why we only feature top tier content. browse by category, color, style, or mood to find exactly what matches your vision. unlimited downloads at your fingertips. Immerse yourself in our world of modern city backgrounds. available in breathtaking 8k resolution that showcases every detail with crystal clarity. our platform is designed for easy browsing and quick downloads, ensuring you can find and save your favorite images in seconds. all content is carefully screened for quality and appropriateness.

Solved In Structural Analysis I Am Studying The Double Chegg
Solved In Structural Analysis I Am Studying The Double Chegg

Solved In Structural Analysis I Am Studying The Double Chegg Premium creative colorful pictures designed for discerning users. every image in our high resolution collection meets strict quality standards. we believe your screen deserves the best, which is why we only feature top tier content. browse by category, color, style, or mood to find exactly what matches your vision. unlimited downloads at your fingertips. Immerse yourself in our world of modern city backgrounds. available in breathtaking 8k resolution that showcases every detail with crystal clarity. our platform is designed for easy browsing and quick downloads, ensuring you can find and save your favorite images in seconds. all content is carefully screened for quality and appropriateness. Explore this collection of mobile mountain images perfect for your desktop or mobile device. download high resolution images for free. our curated gallery features thousands of gorgeous designs that will transform your screen into a stunning visual experience. whether you need backgrounds for work, personal use, or creative projects, we have the perfect selection for you. Unparalleled quality meets stunning aesthetics in our gradient pattern collection. every hd image is selected for its ability to captivate and inspire. our platform offers seamless browsing across categories with lightning fast downloads. refresh your digital environment with amazing visuals that make a statement. Experience the beauty of light arts like never before. our hd collection offers unparalleled visual quality and diversity. from subtle and sophisticated to bold and dramatic, we have {subject}s for every mood and occasion. each image is tested across multiple devices to ensure consistent quality everywhere. start exploring our gallery today. Experience the beauty of sunset illustrations like never before. our mobile collection offers unparalleled visual quality and diversity. from subtle and sophisticated to bold and dramatic, we have {subject}s for every mood and occasion. each image is tested across multiple devices to ensure consistent quality everywhere. start exploring our gallery today.

Solution Structural Analysis 2 Tutorial 3 Double Integration Method
Solution Structural Analysis 2 Tutorial 3 Double Integration Method

Solution Structural Analysis 2 Tutorial 3 Double Integration Method Explore this collection of mobile mountain images perfect for your desktop or mobile device. download high resolution images for free. our curated gallery features thousands of gorgeous designs that will transform your screen into a stunning visual experience. whether you need backgrounds for work, personal use, or creative projects, we have the perfect selection for you. Unparalleled quality meets stunning aesthetics in our gradient pattern collection. every hd image is selected for its ability to captivate and inspire. our platform offers seamless browsing across categories with lightning fast downloads. refresh your digital environment with amazing visuals that make a statement. Experience the beauty of light arts like never before. our hd collection offers unparalleled visual quality and diversity. from subtle and sophisticated to bold and dramatic, we have {subject}s for every mood and occasion. each image is tested across multiple devices to ensure consistent quality everywhere. start exploring our gallery today. Experience the beauty of sunset illustrations like never before. our mobile collection offers unparalleled visual quality and diversity. from subtle and sophisticated to bold and dramatic, we have {subject}s for every mood and occasion. each image is tested across multiple devices to ensure consistent quality everywhere. start exploring our gallery today.

Comments are closed.