Simplify your online presence. Elevate your brand.

Solution Macaulays Method Studypool

Macaulays Method 7 Pdf Bending Mathematical Analysis
Macaulays Method 7 Pdf Bending Mathematical Analysis

Macaulays Method 7 Pdf Bending Mathematical Analysis User generated content is uploaded by users for the purposes of learning and should be used following studypool's honor code & terms of service. stuck on a study question? our verified tutors can answer all questions, from basic math to advanced rocket science! first paragraph: it is the summary of chapter 2 and 2a of daniel pink's book drive. The document provides a detailed analysis using macaulay's method for calculating reactions, moments, shear forces, bending moments, and deflections in various beam configurations under different loading conditions.

Macaulay Method Pdf
Macaulay Method Pdf

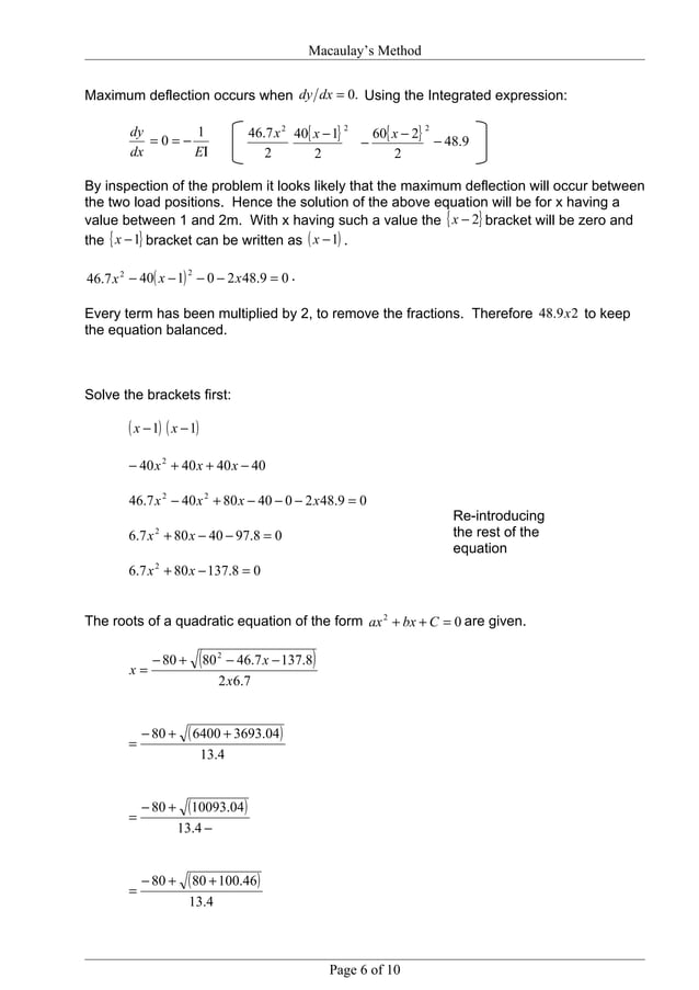
Macaulay Method Pdf Macaulay’s method enables us to write a single equation for bending moment for the full length of the beam. when coupled with the euler bernoulli theory, we can then integrate the expression for bending moment to find the equation for deflection. Macaulay's method provides a continuous expression for the bending moment of a beam subjected to discontinuous loads like point loads, allowing the constants of integration to be valid for all sections of the beam. Recently, a method of structural analysis for statically indeterminate beams and rigid frames has been developed, and the method takes into account the bending deformations and shear to generate a system of equations in function of rotations and displacement. This document describes macaulay's method for determining deflections of beams subjected to discontinuous loads. it provides the bending moment equation and outlines the process of deriving the slope and deflection equations by integrating the bending moment equation.

Solved Macauleys Method Use Macauleys Method To Find The Chegg
Solved Macauleys Method Use Macauleys Method To Find The Chegg

Solved Macauleys Method Use Macauleys Method To Find The Chegg Recently, a method of structural analysis for statically indeterminate beams and rigid frames has been developed, and the method takes into account the bending deformations and shear to generate a system of equations in function of rotations and displacement. This document describes macaulay's method for determining deflections of beams subjected to discontinuous loads. it provides the bending moment equation and outlines the process of deriving the slope and deflection equations by integrating the bending moment equation. Macaulay’s method enables us to write a single equation for bending moment for the full length of the beam. when coupled with the euler bernoulli theory, we can then integrate the expression for bending moment to find the equation for deflection. End of preview want to read all 30 pages?. Macaulay’s method enables us to write a single equation for bending moment for the full length of the beam. when coupled with the euler bernoulli theory, we can then integrate the expression for bending moment to find the equation for deflection. Use of discontinuity function: macaulay’s method. this method is an improvement over the double integration method. this method is also applicable to prismatic beams. this method can be used for discontinuous loadings like concentrated point loads, concentrated moment, and udl.

Macaulay S Method Poisson S Ratio Doc
Macaulay S Method Poisson S Ratio Doc

Macaulay S Method Poisson S Ratio Doc Macaulay’s method enables us to write a single equation for bending moment for the full length of the beam. when coupled with the euler bernoulli theory, we can then integrate the expression for bending moment to find the equation for deflection. End of preview want to read all 30 pages?. Macaulay’s method enables us to write a single equation for bending moment for the full length of the beam. when coupled with the euler bernoulli theory, we can then integrate the expression for bending moment to find the equation for deflection. Use of discontinuity function: macaulay’s method. this method is an improvement over the double integration method. this method is also applicable to prismatic beams. this method can be used for discontinuous loadings like concentrated point loads, concentrated moment, and udl.

Macaulays Method Of Double Integration Answer Different To Mark
Macaulays Method Of Double Integration Answer Different To Mark

Macaulays Method Of Double Integration Answer Different To Mark Macaulay’s method enables us to write a single equation for bending moment for the full length of the beam. when coupled with the euler bernoulli theory, we can then integrate the expression for bending moment to find the equation for deflection. Use of discontinuity function: macaulay’s method. this method is an improvement over the double integration method. this method is also applicable to prismatic beams. this method can be used for discontinuous loadings like concentrated point loads, concentrated moment, and udl.

Comments are closed.