Simplify your online presence. Elevate your brand.

Simulation Lab Session 1 Introduction Pdf Probability

Session 4 Introduction To Probability Pdf Probability Experiment
Session 4 Introduction To Probability Pdf Probability Experiment

Session 4 Introduction To Probability Pdf Probability Experiment Lab1 free download as powerpoint presentation (.ppt .pptx), pdf file (.pdf), text file (.txt) or view presentation slides online. the document introduces simulation software arena and provides an overview of its basic concepts and functions. Lab 1: script files and simulation this tutorial was created by gustav delius for the university of york and is released under a creative commons attribution sharealike 3.0 unported license; it was subsequently extended by stephen connor.

Lecture 4 Introduction To Probability Pdf Probability Experiment
Lecture 4 Introduction To Probability Pdf Probability Experiment

Lecture 4 Introduction To Probability Pdf Probability Experiment Estab lishing a mathematical theory of probability. today, probability theory is a well established branch of mathematics that nds applications in every area of scholarly activity from music to physics, and in daily experience from weather predictio. Introduction to probability part i: the fundamentals s11.1 simulation instructor: john tsitsiklis. In this section, the discussion was about the basic concepts of probability, experimental probability and theoretical probability, and the fundamental counting principles. It presents a thorough treatment of probability ideas and techniques necessary for a firm understanding of the subject. the text can be used in a variety of course lengths, levels, and areas of emphasis.

Lecture 1 Intro To Probability Pdf Probability Probability Theory
Lecture 1 Intro To Probability Pdf Probability Probability Theory

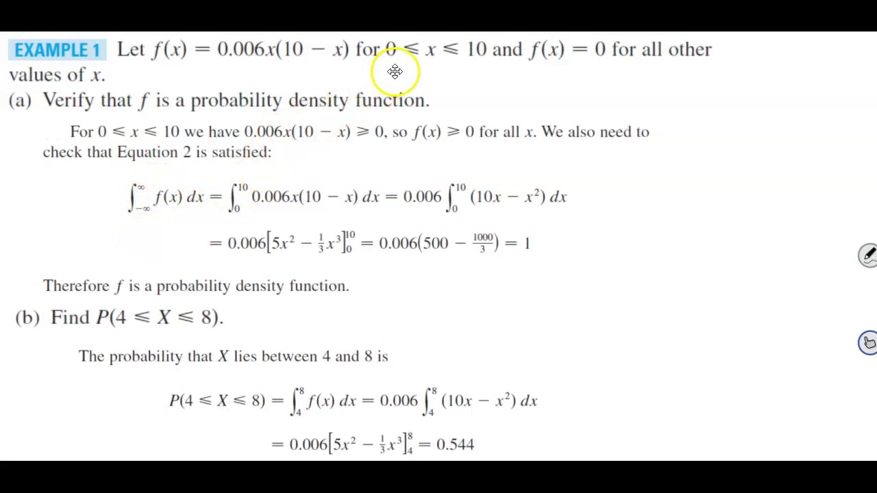
Lecture 1 Intro To Probability Pdf Probability Probability Theory In this section, the discussion was about the basic concepts of probability, experimental probability and theoretical probability, and the fundamental counting principles. It presents a thorough treatment of probability ideas and techniques necessary for a firm understanding of the subject. the text can be used in a variety of course lengths, levels, and areas of emphasis. Spinners to fill in the table below. express each prob. p(yellow) p(blue) p(red) find each theoretical probability as a fraction in simplest fo. Definition 2.6 the pdf of a discrete random variable for a discrete random variable x the probability density function (pdf) is f (x) = p(x = x). (2 9) it assigns a probability to every possible outcome value x. This text is designed for an introductory probability course taken by sophomores, juniors, and seniors in mathematics, the physical and social sciences, engineering, and computer science. Worked solutions for introduction to probability by dimitri bertsekas and john tsitsiklis probability solutions introduction to probability chapter 1.pdf at main · richardsbenjamin probability solutions.

Lecture 1 Introduction Pdf Statistics Probability Distribution
Lecture 1 Introduction Pdf Statistics Probability Distribution

Lecture 1 Introduction Pdf Statistics Probability Distribution Spinners to fill in the table below. express each prob. p(yellow) p(blue) p(red) find each theoretical probability as a fraction in simplest fo. Definition 2.6 the pdf of a discrete random variable for a discrete random variable x the probability density function (pdf) is f (x) = p(x = x). (2 9) it assigns a probability to every possible outcome value x. This text is designed for an introductory probability course taken by sophomores, juniors, and seniors in mathematics, the physical and social sciences, engineering, and computer science. Worked solutions for introduction to probability by dimitri bertsekas and john tsitsiklis probability solutions introduction to probability chapter 1.pdf at main · richardsbenjamin probability solutions.

Comments are closed.