Simplify your online presence. Elevate your brand.

Saas Agreement Ultimate Guide In 2024

Master Saas Agreement Pdf
Master Saas Agreement Pdf

Master Saas Agreement Pdf In this form of business agreement, terms and conditions are clarified between a saas company and its customer. this may cover action items like service agreements or may simply grant users access to software. 22 essential saas contracts & legal documents in this compendium. learn what contracts like ai addendum, esg and sla are & why you need them.

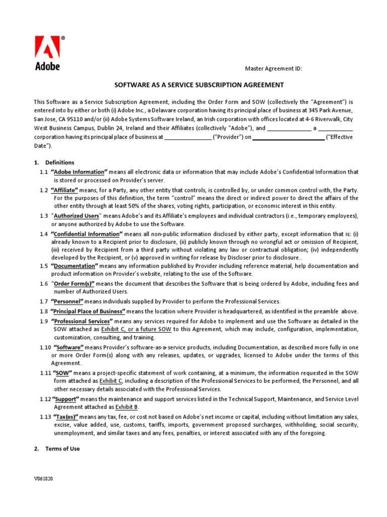
Adobe Saas Agreement Gtc Pdf
Adobe Saas Agreement Gtc Pdf

Adobe Saas Agreement Gtc Pdf Put simply, a saas agreement outlines the terms and conditions governing the use of cloud based software applications. in this comprehensive guide, we'll cover the basics of saas agreements, demystify the cloud and delve into the essential components that make up a saas agreement. A saas agreement, or a software as a service agreement, lays out terms and conditions of a software delivery model. learn more about saas agreements here. Explore the top 10 components essential for a robust saas agreement contract, curated by industry experts with our saas agreement checklist. Whether you’re new to saas contracts or looking to refine your understanding, this comprehensive guide will explore what a saas agreement is, its key components, when and why it’s required, and practical advice for creating, managing, and improving these agreements.

Free Saas Agreement Pdf Legal Liability Liquidation
Free Saas Agreement Pdf Legal Liability Liquidation

Free Saas Agreement Pdf Legal Liability Liquidation Explore the top 10 components essential for a robust saas agreement contract, curated by industry experts with our saas agreement checklist. Whether you’re new to saas contracts or looking to refine your understanding, this comprehensive guide will explore what a saas agreement is, its key components, when and why it’s required, and practical advice for creating, managing, and improving these agreements. Whether you’re a service provider or a customer, having a well drafted saas agreement is crucial to ensure clarity, compliance, and protection of rights. in this blog, we’ll dive deep into what a saas agreement is, why it’s important, and the key clauses that must be included to make it legally sound. A robust saas agreement should specify how the vendor handles personal data, including encryption, storage, and compliance with industry standards. Understand key clauses, legal requirements, and best practices for saas agreements to protect your business. Get the ultimate checklist for building your own saas agreements. negotiate better deals, & safeguard your business interests with this 10 point checklist.

The 2024 Saas Roadmap Flexera
The 2024 Saas Roadmap Flexera

The 2024 Saas Roadmap Flexera Whether you’re a service provider or a customer, having a well drafted saas agreement is crucial to ensure clarity, compliance, and protection of rights. in this blog, we’ll dive deep into what a saas agreement is, why it’s important, and the key clauses that must be included to make it legally sound. A robust saas agreement should specify how the vendor handles personal data, including encryption, storage, and compliance with industry standards. Understand key clauses, legal requirements, and best practices for saas agreements to protect your business. Get the ultimate checklist for building your own saas agreements. negotiate better deals, & safeguard your business interests with this 10 point checklist.

The Ultimate Saas Security Admin Guide 2024
The Ultimate Saas Security Admin Guide 2024

The Ultimate Saas Security Admin Guide 2024 Understand key clauses, legal requirements, and best practices for saas agreements to protect your business. Get the ultimate checklist for building your own saas agreements. negotiate better deals, & safeguard your business interests with this 10 point checklist.

Comments are closed.