Simplify your online presence. Elevate your brand.

Prijemni Ispit 2023 Pdf

Prijemni 2023 Pdf
Prijemni 2023 Pdf

Prijemni 2023 Pdf Биологија Упутство за оцењивање Спецификација теста из биологије. Prijemni ispit 2023 free download as pdf file (.pdf) or read online for free.

Prijemni Ispit 2023 24 Vazni Datumi Pdf
Prijemni Ispit 2023 24 Vazni Datumi Pdf

Prijemni Ispit 2023 24 Vazni Datumi Pdf Test ima 20 zadataka na 2 stranice. svi zadaci se vrednuju sa po 5 poena. ukoliko ne жelite da se opredelite za jedan od prvih pet ponuenih odgovora moжete da oznaqite ,,n”, xto se vrednuje sa 0 poena. za pogrexan odgovor se oduzima 0.5 poena. Prijemni ispit iz matematike test ima 20 zadataka na 2 stranice. svi zadaci se vrednuju sa po 5 poena. ukoliko ne жelite da se opredelite za jedan od prvih pet ponuenih odgovora moжete da oznaqite ,,n”, xto se vrednuje sa 0 poena. za pogrexan odgovor se oduzima 0.5 poena. Zadaci za polaganje prijemnog ispita iz matematike na fakultetima 213 pages pdf no ratings yet. Међутим, листови са задацима које кандидати добијају се могу међусобно разликовати по редоследу задатака и по редоследу понуђених одговора у задацима. Различити листови са задацима су означени различитим шифрама. На сајту је приказан само један лист са задацима са својом шифром.

Ff Testovi Za Prijemni 2023 24 Pdf
Ff Testovi Za Prijemni 2023 24 Pdf

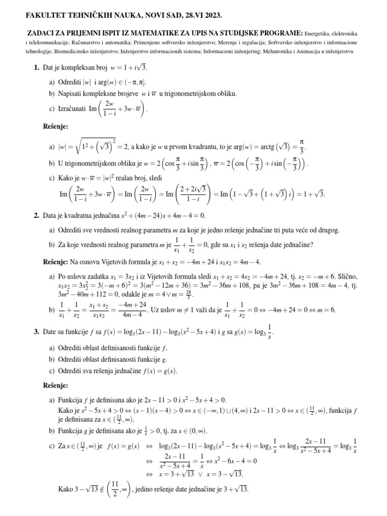
Ff Testovi Za Prijemni 2023 24 Pdf Zadaci za polaganje prijemnog ispita iz matematike na fakultetima 213 pages pdf no ratings yet. Међутим, листови са задацима које кандидати добијају се могу међусобно разликовати по редоследу задатака и по редоследу понуђених одговора у задацима. Различити листови са задацима су означени различитим шифрама. На сајту је приказан само један лист са задацима са својом шифром. Литература за припрему за полагање испита провере склоности и способности за упис у прву годину основних студија у школској 2023 2024. години. Zadaci za prijemni ispit iz matematike za upis na studijske programe: energetika, elektronika i telekomunikacije; računarstvo i automatika; primenjeno softversko inženjerstvo; merenje i regulacija; softversko inženjerstvo i informacione. Dokument se odnosi na prijemni ispit za različite tehničke studije na fakultetu tehničkih nauka u novom sadu. sadrži matematičke zadatke i pitanja vezana za grafičko inženjerstvo i dizajn, kao i pitanja iz opšte kulture i nauke. 29. jun 2023. sifra zadatka 2 x 1 1 6. ako je f(x) = , onda je resenje jednacine f(f(x)) = po x jednako:.

Kalendar Aktivnosti Zavrsni Ispit 2022 2023 I Upis U Srednju Skolu
Kalendar Aktivnosti Zavrsni Ispit 2022 2023 I Upis U Srednju Skolu

Kalendar Aktivnosti Zavrsni Ispit 2022 2023 I Upis U Srednju Skolu Литература за припрему за полагање испита провере склоности и способности за упис у прву годину основних студија у школској 2023 2024. години. Zadaci za prijemni ispit iz matematike za upis na studijske programe: energetika, elektronika i telekomunikacije; računarstvo i automatika; primenjeno softversko inženjerstvo; merenje i regulacija; softversko inženjerstvo i informacione. Dokument se odnosi na prijemni ispit za različite tehničke studije na fakultetu tehničkih nauka u novom sadu. sadrži matematičke zadatke i pitanja vezana za grafičko inženjerstvo i dizajn, kao i pitanja iz opšte kulture i nauke. 29. jun 2023. sifra zadatka 2 x 1 1 6. ako je f(x) = , onda je resenje jednacine f(f(x)) = po x jednako:.

Prijemni Ispit Pdf
Prijemni Ispit Pdf

Prijemni Ispit Pdf Dokument se odnosi na prijemni ispit za različite tehničke studije na fakultetu tehničkih nauka u novom sadu. sadrži matematičke zadatke i pitanja vezana za grafičko inženjerstvo i dizajn, kao i pitanja iz opšte kulture i nauke. 29. jun 2023. sifra zadatka 2 x 1 1 6. ako je f(x) = , onda je resenje jednacine f(f(x)) = po x jednako:.

Prijemni Ispit 02 Juli 2019 Pdf
Prijemni Ispit 02 Juli 2019 Pdf

Prijemni Ispit 02 Juli 2019 Pdf

Comments are closed.