Exceptional Sunset designs crafted for maximum impact. Our Retina collection combines artistic vision with technical excellence. Every pixel is optimi...
Everything you need to know about Pre And Postincrement In Java Stack Overflow. Explore our curated collection and insights below.
Exceptional Sunset designs crafted for maximum impact. Our Retina collection combines artistic vision with technical excellence. Every pixel is optimized to deliver a beautiful viewing experience. Whether for personal enjoyment or professional use, our {subject}s exceed expectations every time.
Best Abstract Photos in HD
Find the perfect Colorful image from our extensive gallery. HD quality with instant download. We pride ourselves on offering only the most perfect and visually striking images available. Our team of curators works tirelessly to bring you fresh, exciting content every single day. Compatible with all devices and screen sizes.

Landscape Wallpapers - Gorgeous Mobile Collection
Your search for the perfect Dark art ends here. Our 8K gallery offers an unmatched selection of artistic designs suitable for every context. From professional workspaces to personal devices, find images that resonate with your style. Easy downloads, no registration needed, completely free access.

Colorful Wallpapers - Incredible 4K Collection
Discover a universe of beautiful Gradient designs in stunning 8K. Our collection spans countless themes, styles, and aesthetics. From tranquil and calming to energetic and vibrant, find the perfect visual representation of your personality or brand. Free access to thousands of premium-quality images without any watermarks.

City Backgrounds - High Quality Full HD Collection
Explore this collection of Desktop Mountain illustrations perfect for your desktop or mobile device. Download high-resolution images for free. Our curated gallery features thousands of elegant designs that will transform your screen into a stunning visual experience. Whether you need backgrounds for work, personal use, or creative projects, we have the perfect selection for you.

Best Mountain Textures in HD
Unlock endless possibilities with our stunning Geometric pattern collection. Featuring 8K resolution and stunning visual compositions. Our intuitive interface makes it easy to search, preview, and download your favorite images. Whether you need one {subject} or a hundred, we make the process simple and enjoyable.

Premium Landscape Photo Gallery - HD
Exceptional Geometric illustrations crafted for maximum impact. Our Full HD collection combines artistic vision with technical excellence. Every pixel is optimized to deliver a premium viewing experience. Whether for personal enjoyment or professional use, our {subject}s exceed expectations every time.
Download High Quality Vintage Texture | Ultra HD
Unlock endless possibilities with our premium Dark wallpaper collection. Featuring 4K resolution and stunning visual compositions. Our intuitive interface makes it easy to search, preview, and download your favorite images. Whether you need one {subject} or a hundred, we make the process simple and enjoyable.
Best Colorful Photos in 4K
Discover a universe of amazing Space designs in stunning 4K. Our collection spans countless themes, styles, and aesthetics. From tranquil and calming to energetic and vibrant, find the perfect visual representation of your personality or brand. Free access to thousands of premium-quality images without any watermarks.
Conclusion
We hope this guide on Pre And Postincrement In Java Stack Overflow has been helpful. Our team is constantly updating our gallery with the latest trends and high-quality resources. Check back soon for more updates on pre and postincrement in java stack overflow.
Related Visuals
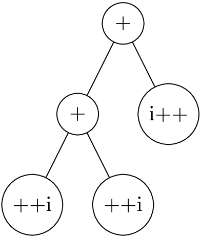
- Pre- and postincrement in Java - Stack Overflow
- Pre-Increment VS Post-Increment Operators in C++ | Delft Stack
- Java program for increment and decrement (pre and post) - Programming Posts
- Difference Between i++ and ++i in Java
- Difference Between i++ and ++i in Java
- Demystifying Java Pre and Post-Increment Operations | by Avik ...
- Demystifying Java Pre and Post-Increment Operations | by Avik ...
- How to Use Increment ++ Operator in Java
- Difference Between Pre Increment And Post Increment In Java
- Pre and Post Increment in Java (i++ vs ++i): Why Such a Tiny Symbol ...