Simplify your online presence. Elevate your brand.

Phrasal Verbs2 Pdf

Phrasal Verbs Pdf
Phrasal Verbs Pdf

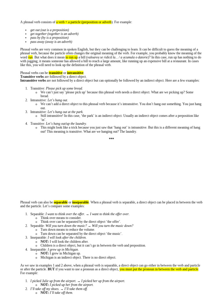
Phrasal Verbs Pdf Phrasal verbs combine a verb with a preposition or adverb, creating new meanings that can sometimes confuse learners. to make your learning journey easier, we’ve prepared a phrasal verbs list with examples in a handy pdf format. Show up (arrive at or come to an event meeting, especially if there's something surprising) • we all went to the party, but lucy didn't show up.

Phrasal Verb Pdf
Phrasal Verb Pdf

Phrasal Verb Pdf Loading…. Native english speakers use phrasal verbs constantly in both casual and formal settings, so mastering phrasal verbs can help you sound more like a native speaker. in today's lesson, we will look at 100 phrasal verbs for everyday use. she gets up as soon as her alarm rings. i wake up at 7 every morning. he put on his jacket before leaving. In this pdf, get the most common 200 phrasal verbs in english. when you know these, you'll be able to take part in conversations and sound more natural. the phrasal verbs are listed in topic areas to make them easier to learn and remember. for each phrasal verb i show you how to use them, and there's also an example sentence. Replace the underlined verbs in these sentences with phrasal verbs made using the verbs and particles from the boxes below. if necessary, use the mini dictionary at the end of this book.

Phrasal Verbs Pdf Verb Object Grammar
Phrasal Verbs Pdf Verb Object Grammar

Phrasal Verbs Pdf Verb Object Grammar In this pdf, get the most common 200 phrasal verbs in english. when you know these, you'll be able to take part in conversations and sound more natural. the phrasal verbs are listed in topic areas to make them easier to learn and remember. for each phrasal verb i show you how to use them, and there's also an example sentence. Replace the underlined verbs in these sentences with phrasal verbs made using the verbs and particles from the boxes below. if necessary, use the mini dictionary at the end of this book. Free phrasal verbs pdf download: cheat sheet for students & learners. get lists of the most common phrasal verbs with examples and meanings. This document lists common b2 phrasal verbs along with their translations, meanings, and examples. each entry provides a clear understanding of how to use the phrasal verbs in context. Meaning 1: to explain. example 1: he was unable to account for the error. meaning 2: to be the cause of something. example 2: these new features account for the smartphone's higher price. meaning 3: to make up or form a part of something. example 3: women account for only 25 percent of our employees. To remain alert. to examine or inspect something or someone. when a situation becomes better. this particular phrasal verb is used to say you view someone with respect and or to have exceptionally good luck. to go in a certain direction, typically in a hurry. to understand the meaning of something. to invent a story.

Comments are closed.