Simplify your online presence. Elevate your brand.

Optimisation Newton Raphson Method

Newton Raphson Method Pdf
Newton Raphson Method Pdf

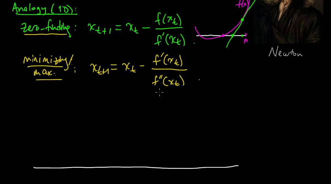
Newton Raphson Method Pdf Newton's method uses curvature information (i.e. the second derivative) to take a more direct route. in calculus, newton's method (also called newton–raphson) is an iterative method for finding the roots of a differentiable function , which are solutions to the equation . Explore newton's method for optimization, a powerful technique used in machine learning, engineering, and applied mathematics. learn about second order derivatives, hessian matrix, convergence, and its applications in optimization problems.

Newton And Modified Newton Raphson Method Pdf
Newton And Modified Newton Raphson Method Pdf

Newton And Modified Newton Raphson Method Pdf Discover the simplicity of bisection and the efficiency of newton raphson in solving optimization problems. The newton raphson method is used if the derivative fprime of func is provided, otherwise the secant method is used. if the second order derivative fprime2 of func is also provided, then halley’s method is used. Newton raphson method or newton method is a powerful technique for solving equations numerically. it is most commonly used for approximation of the roots of the real valued functions. The first part of developing the newton raphson algorithm is to devise a way to approximate the likelihood function with a function that can be easily maximized analytically.

7 Newton Raphson Method Pdf Mathematical Objects Computational
7 Newton Raphson Method Pdf Mathematical Objects Computational

7 Newton Raphson Method Pdf Mathematical Objects Computational Newton raphson method or newton method is a powerful technique for solving equations numerically. it is most commonly used for approximation of the roots of the real valued functions. The first part of developing the newton raphson algorithm is to devise a way to approximate the likelihood function with a function that can be easily maximized analytically. Explore advanced newton‑raphson optimizations, tackling multiple roots, adaptive step sizes, and stability improvements for challenging equations. (a) using a calculator (or a computer, if you wish), compute five iterations of newton’s method starting at each of the following points, and record your answers:. Many of the readers may be familiar with gradient descent, or related optimization algorithms such as stochastic gradient descent. however, this post will discuss in more depth the classical newton method for optimization, sometimes referred to as the newton raphson method. Newton’s method is originally a root finding method for nonlinear equations, but in combination with optimality conditions it becomes the workhorse of many optimization algorithms.

Github Maureau Projet Newton Raphson Optimisation Interface
Github Maureau Projet Newton Raphson Optimisation Interface

Github Maureau Projet Newton Raphson Optimisation Interface Explore advanced newton‑raphson optimizations, tackling multiple roots, adaptive step sizes, and stability improvements for challenging equations. (a) using a calculator (or a computer, if you wish), compute five iterations of newton’s method starting at each of the following points, and record your answers:. Many of the readers may be familiar with gradient descent, or related optimization algorithms such as stochastic gradient descent. however, this post will discuss in more depth the classical newton method for optimization, sometimes referred to as the newton raphson method. Newton’s method is originally a root finding method for nonlinear equations, but in combination with optimality conditions it becomes the workhorse of many optimization algorithms.

Github Maureau Projet Newton Raphson Optimisation Interface
Github Maureau Projet Newton Raphson Optimisation Interface

Github Maureau Projet Newton Raphson Optimisation Interface Many of the readers may be familiar with gradient descent, or related optimization algorithms such as stochastic gradient descent. however, this post will discuss in more depth the classical newton method for optimization, sometimes referred to as the newton raphson method. Newton’s method is originally a root finding method for nonlinear equations, but in combination with optimality conditions it becomes the workhorse of many optimization algorithms.

Comments are closed.