Simplify your online presence. Elevate your brand.

Newmark Beta Method Pdf Teaching Methods Materials

Module 11 Newmark Method Pdf
Module 11 Newmark Method Pdf

Module 11 Newmark Method Pdf The hht α method adopts the finite diference equations of the newmark β method, (equations (22) and (23)). the equations of motion are modified, however, using a parameter α, which represents a numerical lag in the damping, stifness, nonlinear, and external forces. The newmark beta method is a numerical integration method used to solve differential equations, especially for modeling the dynamic response of structures in finite element analysis.

Newmark Beta Method Semantic Scholar
Newmark Beta Method Semantic Scholar

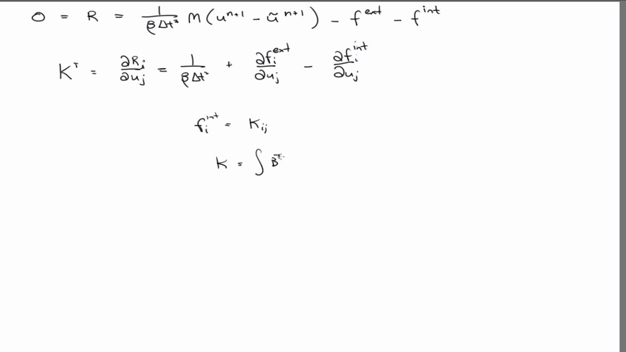
Newmark Beta Method Semantic Scholar Numerical properties of the newmark method in the solution of nonlinear sys tems derived in the accompanying paper are thoroughly confirmed with numerical examples herein. In conducting iteration by newmark–β method, if deformation is given unknown, take the difference of acceleration, deformation and velocity relational expression at the k th and k − 1th iteration. The newmark method derived using taylor series approximation equation for base excitation of sdof base excitation: applied harmonic ground motion and relative displacement. Because of the unconditional stability of the average acceleration method, it is the most robust method to be used for the step by step dynamic analysis of large complex structural systems in which a large number of high frequencies, short periods, are present.

Newmark Beta Method Wikipedia The Free Encyclopedia Pdf
Newmark Beta Method Wikipedia The Free Encyclopedia Pdf

Newmark Beta Method Wikipedia The Free Encyclopedia Pdf The newmark method derived using taylor series approximation equation for base excitation of sdof base excitation: applied harmonic ground motion and relative displacement. Because of the unconditional stability of the average acceleration method, it is the most robust method to be used for the step by step dynamic analysis of large complex structural systems in which a large number of high frequencies, short periods, are present. The page includes equations and a practical calculator for the newmark β triangular load, making it a valuable resource for students and professionals in structural engineering and dynamics for understanding and applying this method. 27) 28) thus the next correction to the displacement will be zero and the iteration can be stopped. in the following, the steps of the displacement based newmark method for the numerical integration of equations of motion (2.47) are described. Direct numerical integration implies a marching in time, step by step procedure, solving the algebraic form of eq. (1) at specific time values. the direct qualification implies that, prior to the numerical integration; no transformation of the eom (1) is carried out. Force function newmark's beta method:linear systems: ( β , γ, uuu m , c , k , ∆t , x ) := γ 1 kbar ← k ⋅ c ⋅ m β ⋅ ∆t 2 β ⋅ ∆t.

Scheme Of Newmark Beta Method Colour Figure Can Be Viewed At
Scheme Of Newmark Beta Method Colour Figure Can Be Viewed At

Scheme Of Newmark Beta Method Colour Figure Can Be Viewed At The page includes equations and a practical calculator for the newmark β triangular load, making it a valuable resource for students and professionals in structural engineering and dynamics for understanding and applying this method. 27) 28) thus the next correction to the displacement will be zero and the iteration can be stopped. in the following, the steps of the displacement based newmark method for the numerical integration of equations of motion (2.47) are described. Direct numerical integration implies a marching in time, step by step procedure, solving the algebraic form of eq. (1) at specific time values. the direct qualification implies that, prior to the numerical integration; no transformation of the eom (1) is carried out. Force function newmark's beta method:linear systems: ( β , γ, uuu m , c , k , ∆t , x ) := γ 1 kbar ← k ⋅ c ⋅ m β ⋅ ∆t 2 β ⋅ ∆t.

Teaching Methods Pdf
Teaching Methods Pdf

Teaching Methods Pdf Direct numerical integration implies a marching in time, step by step procedure, solving the algebraic form of eq. (1) at specific time values. the direct qualification implies that, prior to the numerical integration; no transformation of the eom (1) is carried out. Force function newmark's beta method:linear systems: ( β , γ, uuu m , c , k , ∆t , x ) := γ 1 kbar ← k ⋅ c ⋅ m β ⋅ ∆t 2 β ⋅ ∆t.

Newmark Beta Method Semantic Scholar
Newmark Beta Method Semantic Scholar

Newmark Beta Method Semantic Scholar

Comments are closed.